Image Details

Choose export citation format:

Saving Doomed Planets: Mass Loss and Angular Momentum Return Boost Hot Jupiter Survival Rates

  • Authors: Grant C. Weldon, Bradley M. S. Hansen, Smadar Naoz

Grant C. Weldon et al 2026 The Astrophysical Journal 1001 .

  • Provider: AAS Journals

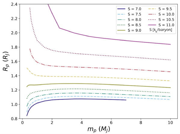
Caption: Figure 9.

Curves of constant central entropy showing planetary radius as a function of planetary mass, from MESA.

Other Images in This Article
Copyright and Terms & Conditions

Additional terms of reuse