Image Details

Choose export citation format:

Saving Doomed Planets: Mass Loss and Angular Momentum Return Boost Hot Jupiter Survival Rates

  • Authors: Grant C. Weldon, Bradley M. S. Hansen, Smadar Naoz

Grant C. Weldon et al 2026 The Astrophysical Journal 1001 .

  • Provider: AAS Journals

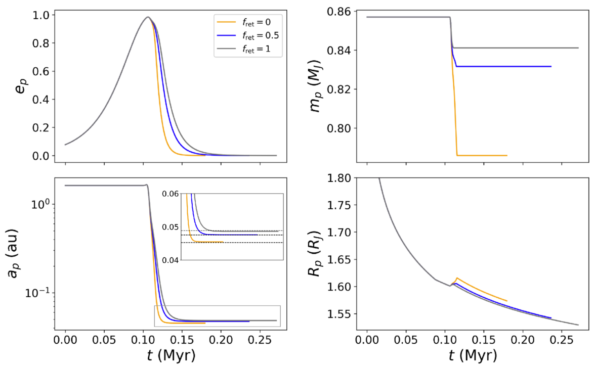
Caption: Figure 3.

Time evolution of ep (top left), ap (bottom left), mp (top right), and Rp (bottom right) for an example system that forms a hot Jupiter through a single quadrupole cycle. Curves show evolution with varying fractions of angular momentum return, including fret = 0 (orange curves), fret = 0.5 (blue curves), and fret = 1 (gray curves). The ap panel (bottom left) shows a zoomed-in view of the final circularization locations of the hot Jupiter (inset panel corresponds to the gray rectangle), with dashed black lines showing analytical predictions from Equation (14). The system parameters are m* = 1.427M, mp = 0.857MJ, mc = 0.838M, ap = 1.621 au, ac = 82.846 au, ep = 0.077, ec = 0.084, ω1 = 46﹩\mathop{.}\limits^{\unicode{x000b0}}﹩075, ω2 = 212﹩\mathop{.}\limits^{\unicode{x000b0}}﹩893, and i = 84﹩\mathop{.}\limits^{\unicode{x000b0}}﹩210.

Other Images in This Article
Copyright and Terms & Conditions

Additional terms of reuse