Image Details

Choose export citation format:

Optical Spectroscopy of the Uranian Moons from Equinox to Northern Summer

  • Authors: Riley A. DeColibus, Richard J. Cartwright, William M. Grundy, Bonnie J. Buratti, Michael D. Hicks, Ishan Mishra

Riley A. DeColibus et al 2026 The Planetary Science Journal 7 .

  • Provider: AAS Journals

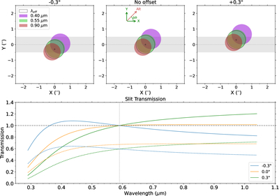
Caption: Figure A1.

A demonstration of the effect that guiding errors can have on the light transmission through the slit when it is not aligned with the parallactic angle. In this example modeled after our DeVeny data and assuming realistic atmospheric conditions at the LDT, three panels across the top row demonstrate differential atmospheric refraction, with the target at the guide wavelength (0.59 μm) placed at varying offsets perpendicular to the width of a 1″ slit (gray rectangle): −0﹩\mathop{.}\limits^{\unicode{x02033}}﹩3 (top left), no offset (top center), and +0﹩\mathop{.}\limits^{\unicode{x02033}}﹩3 (top right). For this example, the slit is assumed to be oriented 45° from the parallactic angle, the target is at an airmass of 1.15, and the seeing FWHM at the guide wavelength (black unfilled circle) is 1﹩\mathop{.}\limits^{\unicode{x02033}}﹩2. Short-wavelength light (purple circle) has a larger seeing FWHM (size of circle) and is dispersed farther from the target’s true position (the + mark) than long-wavelength light (red circle). In the bottom panel, slit transmission relative to the guide wavelength (solid lines) and the absolute transmission through the slit (dashed lines) are plotted as a function of wavelength for each of the offsets in blue (−0﹩\mathop{.}\limits^{\unicode{x02033}}﹩3), orange (no offset), and green (+0﹩\mathop{.}\limits^{\unicode{x02033}}﹩3), respectively. Even when the object is perfectly centered, substantial amounts of light are lost at short wavelengths when a narrow slit is not aligned with the parallactic angle.

Other Images in This Article
Copyright and Terms & Conditions

Additional terms of reuse