Image Details

Choose export citation format:

Simultaneous JWST, NuSTAR, and VLA Monitoring of Sgr A*: A Unified Picture of the Variable IR, X-Ray, and Radio Emission

  • Authors: F. Yusef-Zadeh, M. Wardle, R. G. Arendt, C. O. Heinke, C. J. Chandler, H. Bushouse, G. A. Moellenbrock, Joseph M. Michail

F. Yusef-Zadeh et al 2026 The Astrophysical Journal Letters 1000 .

  • Provider: AAS Journals

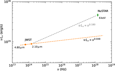
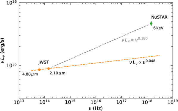
Caption: Figure 9.

The IR to X-ray SED at the peak of the flare at UT 10.5 hr on 2024 April 5. Orange and green points show the JWST and NuSTAR peak luminosities at 4.8 μm, 2.1 μm, and 6 keV. The measurement errors of the JWST measurements are at the 1% level, within the size of the data points. Dashed lines show the power-law extrapolation of the IR spectral index (orange) and the harder power-law spectrum that would connect the 2.1 and 6 keV measurements (gray).

Other Images in This Article

Show More

Copyright and Terms & Conditions

Additional terms of reuse