Image Details

Choose export citation format:

Simultaneous JWST, NuSTAR, and VLA Monitoring of Sgr A*: A Unified Picture of the Variable IR, X-Ray, and Radio Emission

  • Authors: F. Yusef-Zadeh, M. Wardle, R. G. Arendt, C. O. Heinke, C. J. Chandler, H. Bushouse, G. A. Moellenbrock, Joseph M. Michail

F. Yusef-Zadeh et al 2026 The Astrophysical Journal Letters 1000 .

  • Provider: AAS Journals

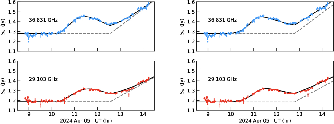
Caption: Figure 8.

Best-fit adiabatically expanding synchrotron source models for the radio light curves on 2024 April 5, assuming (left) a relativistic Maxwellian distribution of electron energies or (right) a power-law energy spectrum. The observed light curves at 36.8 and 29.1 GHz are plotted in blue and red, respectively. Gray dashed lines indicate the underlying slow variation of the quiescent flux, and solid curves include the addition of a flaring component contributed by an expanding synchrotron source which peaks as it transitions from being optically thick to thin (see text).

Other Images in This Article

Show More

Copyright and Terms & Conditions

Additional terms of reuse