Image Details

Choose export citation format:

Cosmic-Ray and Plasma Coupling for Isothermal Supersonic Turbulence in the Magnetized Interstellar Medium

  • Authors: Matt L. Sampson, James R. Beattie, Romain Teyssier, Philipp Kempski, Eric R. Moseley, Benoit Commerçon, Yohan Dubois, Joakim Rosdahl

Matt L. Sampson et al 2026 The Astrophysical Journal 1001 .

  • Provider: AAS Journals

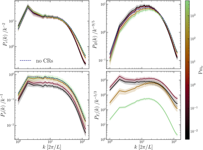
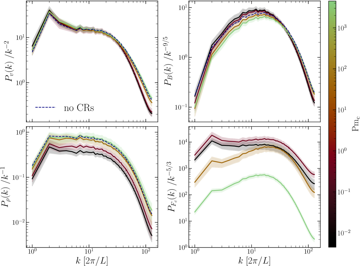
Caption: Figure 7.

Isotropic power spectra for the super-Alfvénic runs for v, B, ρ, and Fc with the field indicated in the subscript of the P(k) label. We average over 5τ with the mean as solid lines and the standard deviation indicated in the shading. We compensate the velocity spectra by k−2 for easier comparison to the Pv(k) ∝ k−2 turbulence of J. Burgers (1948), found on the supersonic wave modes within supersonic turbulence (C. Federrath et al. 2021; M. Cernetic et al. 2024; J. R. Beattie et al. 2025). With the color, we show the range of Pmc = Dc/Dcrit, varying from weak microphysical diffusion Pmc ≪ 1, and hence strong CR–plasma coupling (see Figure 5), to strong microphysical diffusion Pmc ≫ 1 and hence weak CR–plasma coupling. We also show a no-CR (pure MHD) simulation with the blue dashed line. Overall, the turbulence in the velocity and magnetic fields remain approximately invariant, and the CR–plasma coupling mostly impacts the plasma density and CR fluid flux fluctuations. We make the same plot for the ﹩{{ \mathcal M }}_{{\rm{A}}0}\lt 1﹩ simulations in Figure 12.

Other Images in This Article

Show More

Copyright and Terms & Conditions

Additional terms of reuse