Image Details

Choose export citation format:

Cosmic-Ray and Plasma Coupling for Isothermal Supersonic Turbulence in the Magnetized Interstellar Medium

  • Authors: Matt L. Sampson, James R. Beattie, Romain Teyssier, Philipp Kempski, Eric R. Moseley, Benoit Commerçon, Yohan Dubois, Joakim Rosdahl

Matt L. Sampson et al 2026 The Astrophysical Journal 1001 .

  • Provider: AAS Journals

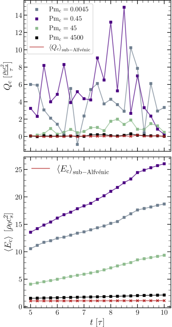
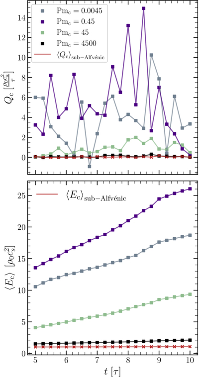
Caption: Figure 9.

Cosmic-ray heating rate, Qc (Equation (24)), and ﹩\left\langle {E}_{{\rm{c}}}\right\rangle ﹩ as a function of time for ﹩{{ \mathcal M }}_{{\rm{A}}0}\approx 10﹩ simulations and averaged ﹩{{ \mathcal M }}_{{\rm{A}}0}\approx 0.75﹩ simulations (red). We show results for all Pmc values indicated in color.

Other Images in This Article

Show More

Copyright and Terms & Conditions

Additional terms of reuse