Image Details

Choose export citation format:

Cosmic-Ray and Plasma Coupling for Isothermal Supersonic Turbulence in the Magnetized Interstellar Medium

  • Authors: Matt L. Sampson, James R. Beattie, Romain Teyssier, Philipp Kempski, Eric R. Moseley, Benoit Commerçon, Yohan Dubois, Joakim Rosdahl

Matt L. Sampson et al 2026 The Astrophysical Journal 1001 .

  • Provider: AAS Journals

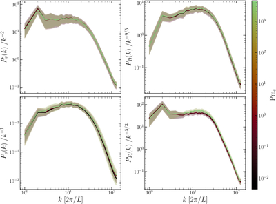
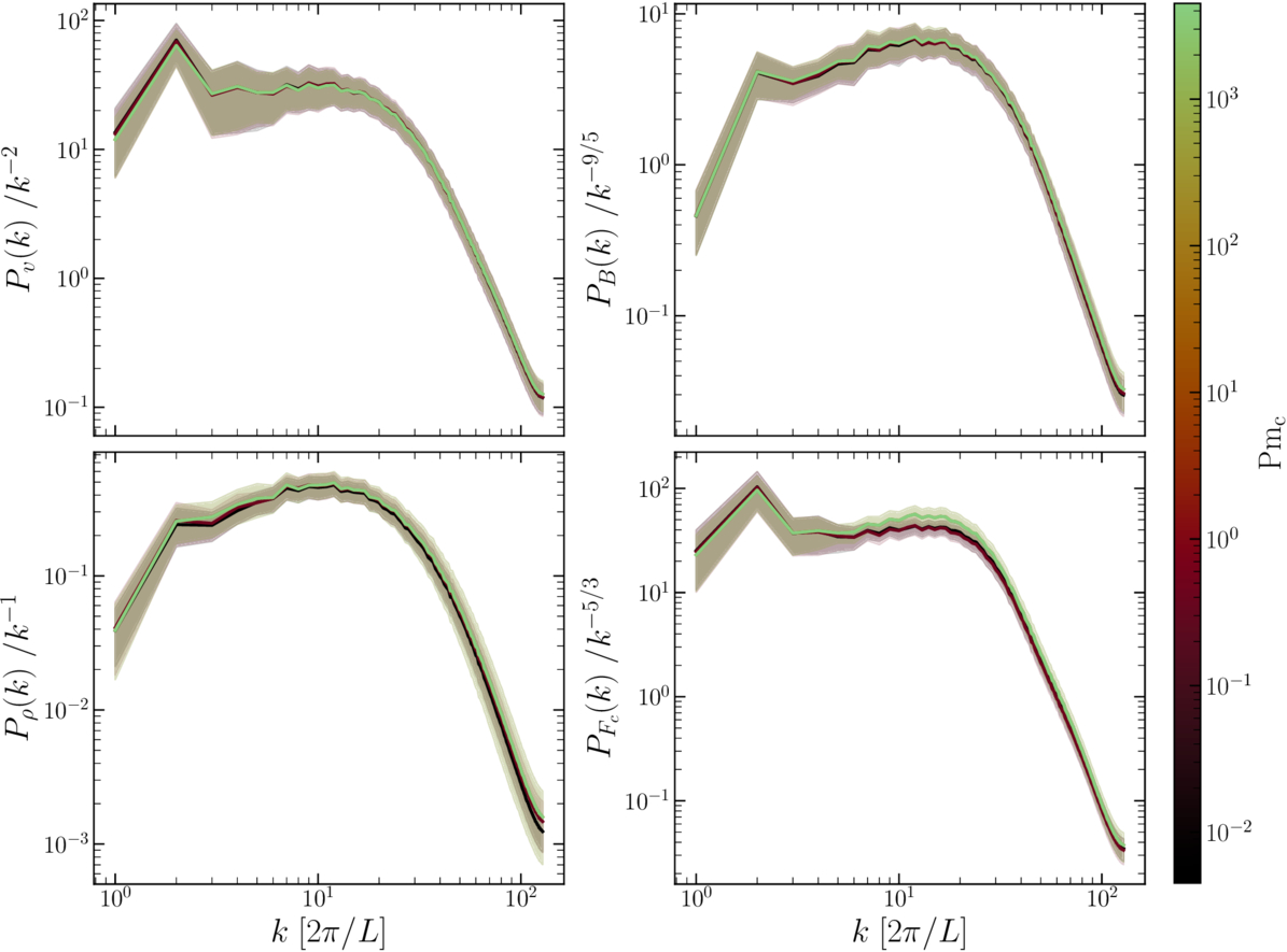
Caption: Figure 12.

Same as Figure 7 but for ﹩{{ \mathcal M }}_{{\rm{A}}0}=0.5﹩.

Other Images in This Article

Show More

Copyright and Terms & Conditions

Additional terms of reuse