Image Details

Choose export citation format:

The “Little Dark Dot”: Evidence for Self-interacting Dark Matter in the Strong Lens SDSS J0946+1006?

  • Authors: Shubo Li, Ran Li, Kaihao Wang, Zixiang Jia, Xiaoyue Cao, Carlos S. Frenk, Fangzhou Jiang, Aristeidis Amvrosiadis, Shaun Cole, Qiuhan He, Samuel C. Lange, Richard Massey, James W. Nightingale, Andrew Robertson, Maximilian von Wietersheim-Kramsta, Xianghao Ma

Shubo Li et al 2025 The Astrophysical Journal 994 .

  • Provider: AAS Journals

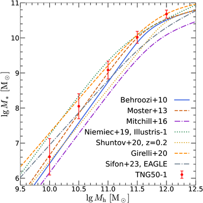
Caption: Figure 8.

Median SHMRs from different studies. Colored curves show best-fit relations from P. S. Behroozi et al. (2010), B. P. Moster et al. (2013), P. D. Mitchell et al. (2016), A. Niemiec et al. (2019), G. Girelli et al. (2020), M. Shuntov et al. (2022), and C. Sifón & J. Han (2024), while the TNG-50 simulated result is marked by red dots with 1σ error bars.

Other Images in This Article
Copyright and Terms & Conditions

Additional terms of reuse