Image Details

Choose export citation format:

The “Little Dark Dot”: Evidence for Self-interacting Dark Matter in the Strong Lens SDSS J0946+1006?

  • Authors: Shubo Li, Ran Li, Kaihao Wang, Zixiang Jia, Xiaoyue Cao, Carlos S. Frenk, Fangzhou Jiang, Aristeidis Amvrosiadis, Shaun Cole, Qiuhan He, Samuel C. Lange, Richard Massey, James W. Nightingale, Andrew Robertson, Maximilian von Wietersheim-Kramsta, Xianghao Ma

Shubo Li et al 2025 The Astrophysical Journal 994 .

  • Provider: AAS Journals

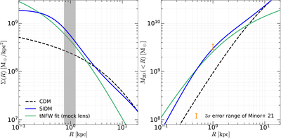
Caption: Figure 7.

Same format as Figure 2, but here we include the best-fit tNFW profile from our mock lensing image, with M200 = 2.40 × 1010 M and c200 = 62.25. Left: 2D projected surface density profiles, with the gray band indicating the radius range used to calculate the log slope, γ2D. Right: 2D enclosed mass profiles. The error bar indicates the 3σ measurement uncertainty of M2D,tot (<1 kpc) from Q. Minor et al. (2021).

Other Images in This Article
Copyright and Terms & Conditions

Additional terms of reuse