Image Details

Choose export citation format:

The “Little Dark Dot”: Evidence for Self-interacting Dark Matter in the Strong Lens SDSS J0946+1006?

  • Authors: Shubo Li, Ran Li, Kaihao Wang, Zixiang Jia, Xiaoyue Cao, Carlos S. Frenk, Fangzhou Jiang, Aristeidis Amvrosiadis, Shaun Cole, Qiuhan He, Samuel C. Lange, Richard Massey, James W. Nightingale, Andrew Robertson, Maximilian von Wietersheim-Kramsta, Xianghao Ma

Shubo Li et al 2025 The Astrophysical Journal 994 .

  • Provider: AAS Journals

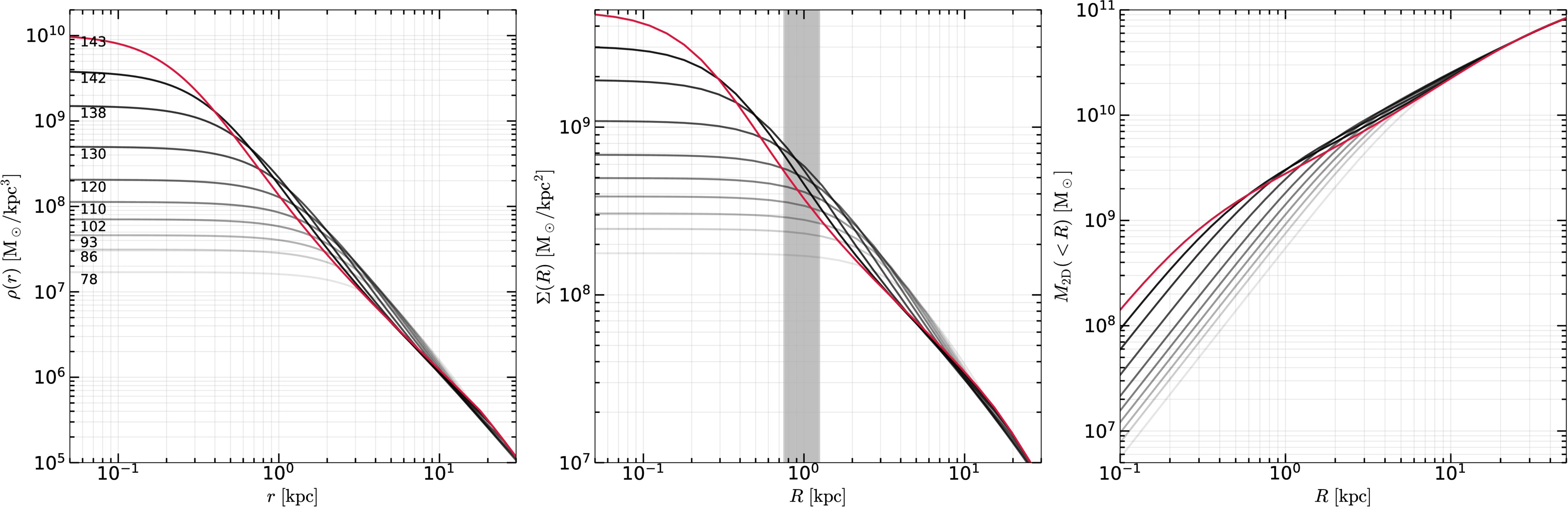
Caption: Figure 4.

The evolution of the 3D density profiles (left panel), the 2D projected surface density profiles (middle panel), and the 2D enclosed mass profiles (right panel) during the post-tmerge stage for an SIDM halo with M200 = 1 × 1011 M. The black curves represent the density profiles prior to the turning point identified in Figure 3, with line darkness increasing to indicate temporal evolution. The red curve corresponds to the final snapshot after the turning point. In the left panel, the values of tage · σm (in units of 11.06 Gyr · cm2 g–1) are labeled below each line.

Other Images in This Article
Copyright and Terms & Conditions

Additional terms of reuse