Image Details

Choose export citation format:

The “Little Dark Dot”: Evidence for Self-interacting Dark Matter in the Strong Lens SDSS J0946+1006?

  • Authors: Shubo Li, Ran Li, Kaihao Wang, Zixiang Jia, Xiaoyue Cao, Carlos S. Frenk, Fangzhou Jiang, Aristeidis Amvrosiadis, Shaun Cole, Qiuhan He, Samuel C. Lange, Richard Massey, James W. Nightingale, Andrew Robertson, Maximilian von Wietersheim-Kramsta, Xianghao Ma

Shubo Li et al 2025 The Astrophysical Journal 994 .

  • Provider: AAS Journals

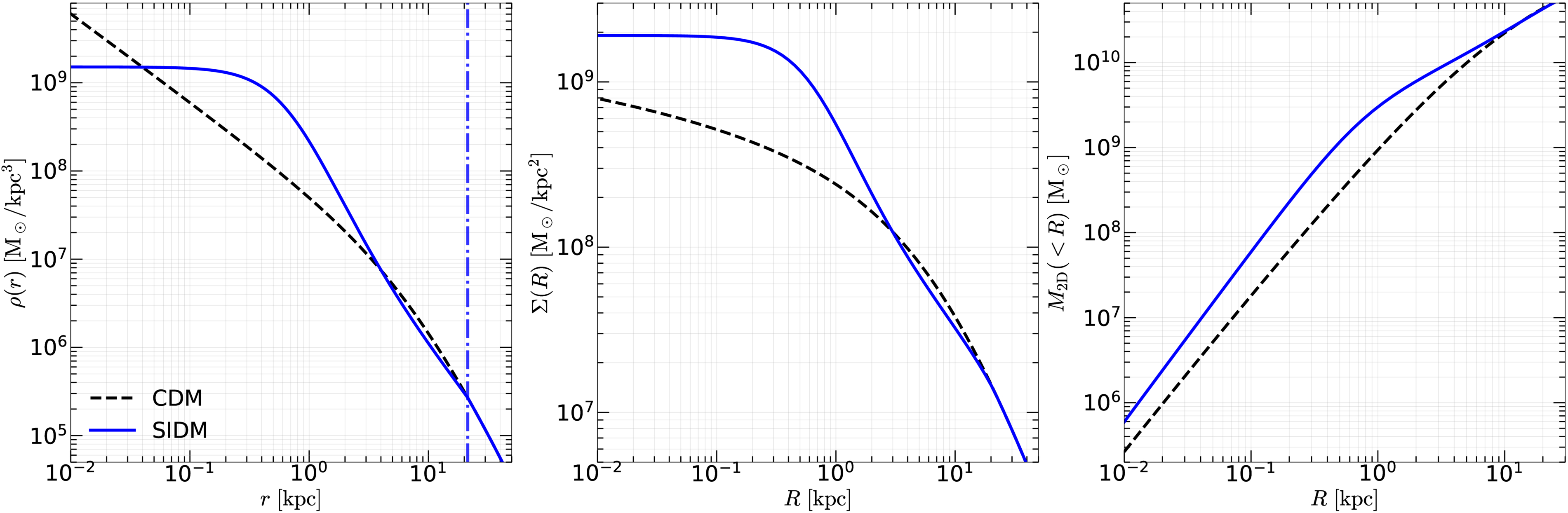
Caption: Figure 2.

The density and mass profiles of a core-collapse SIDM halo with M200 = 1011 M (corresponding to the evolutionary stage indicated by the red star in Figure 1) and its CDM counterpart. SIDM and CDM profiles are shown in blue and black, respectively. Left: 3D density profiles, with the blue vertical dashed–dotted line marking the stitching radius, r1. Middle: 2D projected surface density profiles. Right: 2D enclosed mass profiles.

Other Images in This Article
Copyright and Terms & Conditions

Additional terms of reuse