Image Details

Choose export citation format:

Chemical Abundances Shape History (CASH). I. A Link between Giant Planets' Orbital Periods and Host Stellar C/O Ratios

  • Authors: Ruisheng Zhang, Ji-Wei Xie, Mengrui Pan, Beibei Liu, Ji-Lin Zhou, Ji Wang, Haiyang S. Wang, Yapeng Zhang

Ruisheng Zhang et al 2026 The Astronomical Journal 171 .

  • Provider: AAS Journals

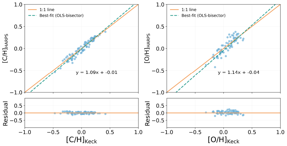
Caption: Figure 14.

Calibration of abundances from KECK to HARPS. Top: correlations of [C/H] (left) and [O/H] (right). The orange solid line indicates the 1:1 relation, and the teal dashed line shows the best-fit OLS-bisector calibration. Bottom: residuals relative to the best-fit line.

Other Images in This Article

Show More

Copyright and Terms & Conditions

Additional terms of reuse