Image Details

Choose export citation format:

Predictions of the LSST Solar System Yield: Neptune Trojans

  • Authors: Joseph Murtagh, Megan E. Schwamb, Pedro H. Bernardinelli, Hsing Wen Lin, 省 文 林, Jacob A. Kurlander, Stephanie R. Merritt, Samuel Cornwall, Mario Jurić, Grigori Fedorets, Matthew J. Holman, Siegfried Eggl, R. Lynne Jones, Peter Yoachim, Joachim Moeyens, Jeremy Kubica, Drew Oldag, Maxine West, Colin Orion Chandler

Joseph Murtagh et al 2026 The Astronomical Journal 171 .

  • Provider: AAS Journals

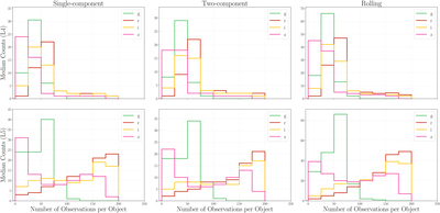
Caption: Figure 9.

Histograms of the number of detections per object, broken down per filter for the three input models (columns) and by Lagrange cloud (L4, top row; L5, bottom row). All exclude any observations that fall within a DDF.

Other Images in This Article
Copyright and Terms & Conditions

Additional terms of reuse