Image Details

Choose export citation format:

Kepler Input Catalog: Photometric Calibration and Stellar Classification

  • Authors: Timothy M. Brown, David W. Latham, Mark E. Everett, and Gilbert A. Esquerdo

Brown et al. 2011 The Astronomical Journal 142 112.

  • Provider: AAS Journals

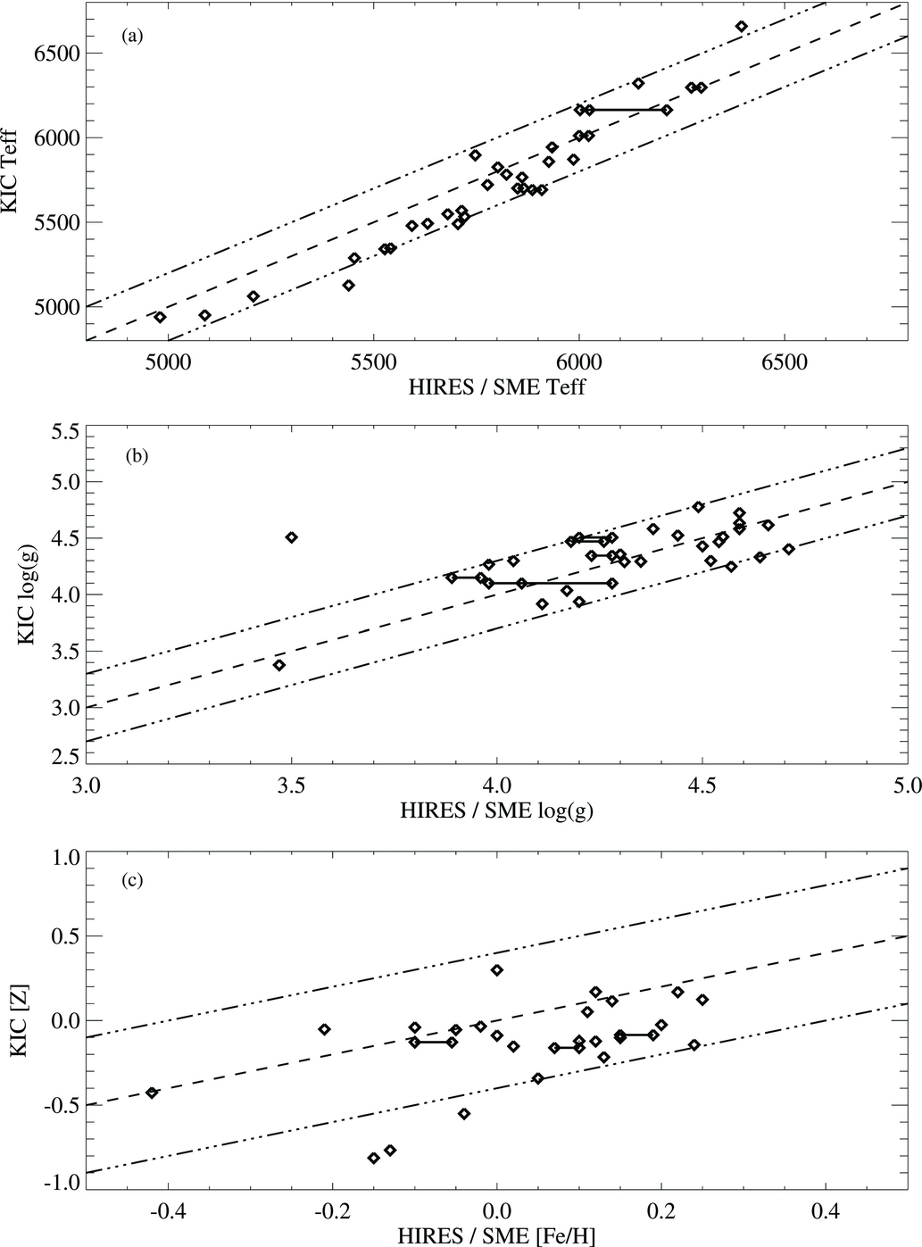
Caption: Figure 8.

Parameter estimates from the KIC plotted against estimates by D. Fischer from SME model spectrum fitting, for stars observed with the Keck/HIRES spectrometer as possible transiting planet hosts. A few stars have more than one independent HIRES/SME observation and analysis; in these cases, the various results are shown connected by horizontal lines. Panel (a) shows T eff on each axis, with lines showing equality and ±200 K overplotted. Panel (b) shows log ( g), with lines showing equality and ±0.3 dex. Panel (c) similarly shows log ( Z), with line showing equality and ±0.4 dex.

Other Images in This Article

Show More

Copyright and Terms & Conditions