Image Details

Choose export citation format:

Kepler Input Catalog: Photometric Calibration and Stellar Classification

  • Authors: Timothy M. Brown, David W. Latham, Mark E. Everett, and Gilbert A. Esquerdo

Brown et al. 2011 The Astronomical Journal 142 112.

  • Provider: AAS Journals

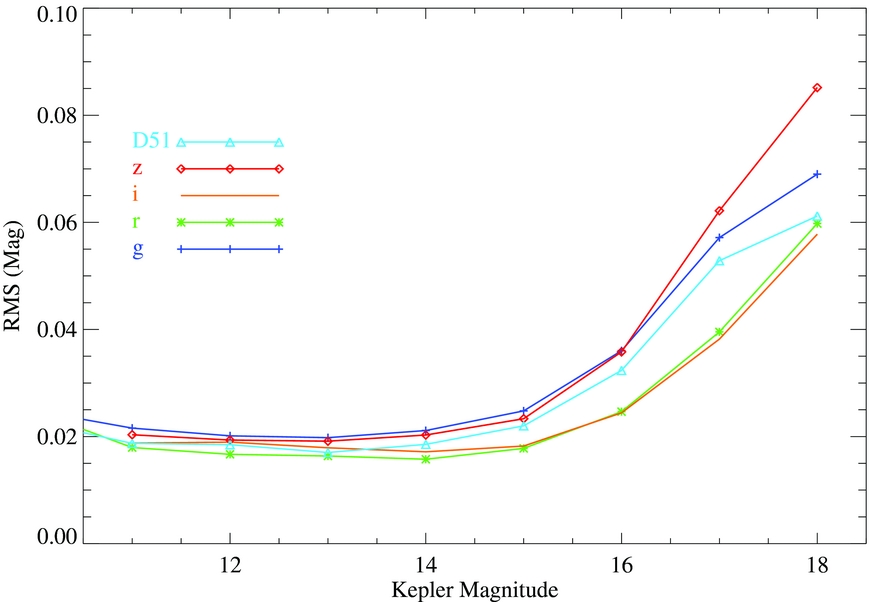
Caption: Figure 4.

Photometric repeatability for stars in the secondary standard fields, after correction for atmospheric extinction for each filter, shown as a function of apparent magnitude in that filter.

Other Images in This Article

Show More

Copyright and Terms & Conditions