Image Details

Choose export citation format:

MESA ISOCHRONES AND STELLAR TRACKS (MIST) 0: METHODS FOR THE CONSTRUCTION OF STELLAR ISOCHRONES

  • Authors: Aaron Dotter

2016 The Astrophysical Journal Supplement Series 222 8.

  • Provider: AAS Journals

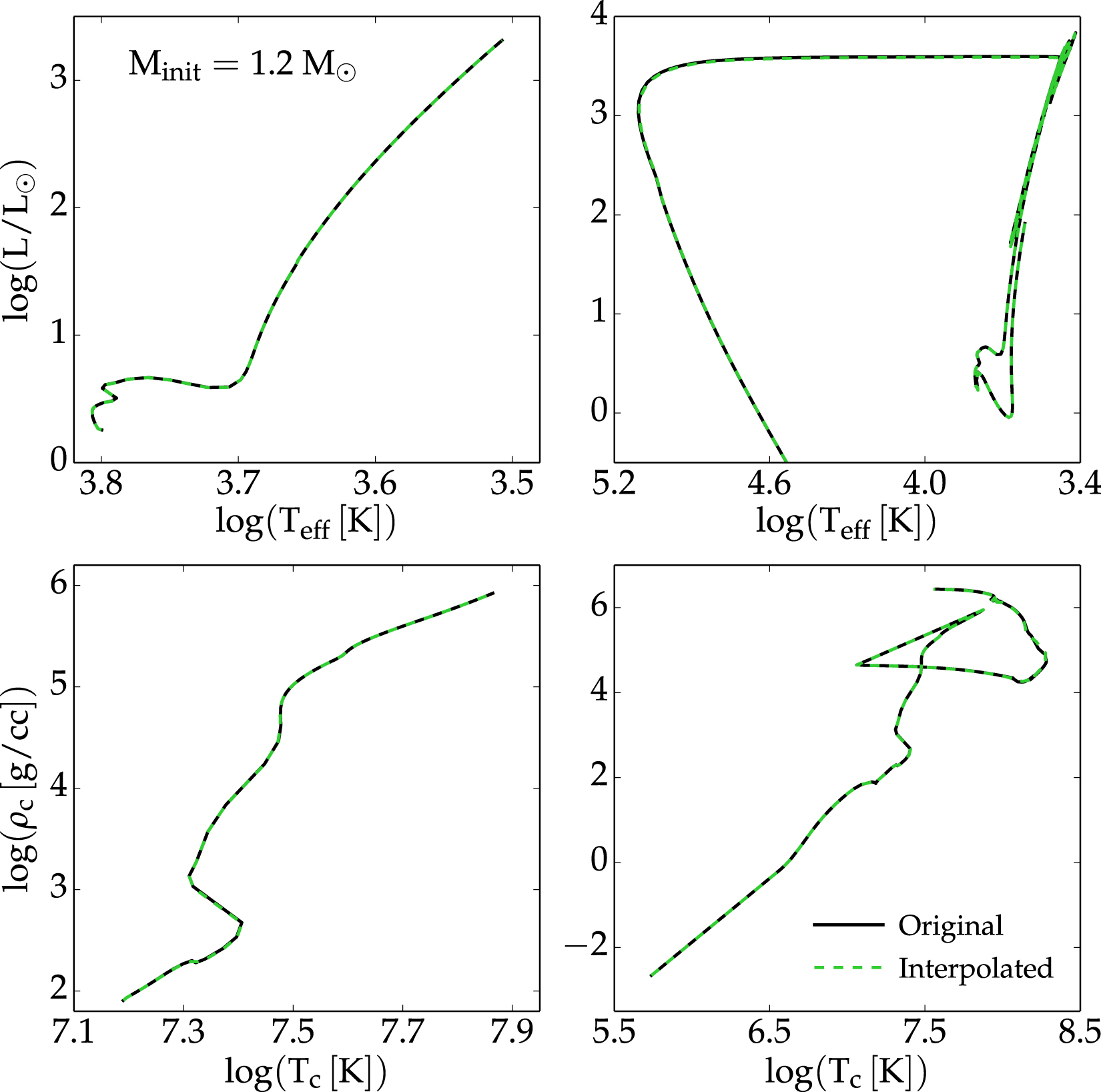
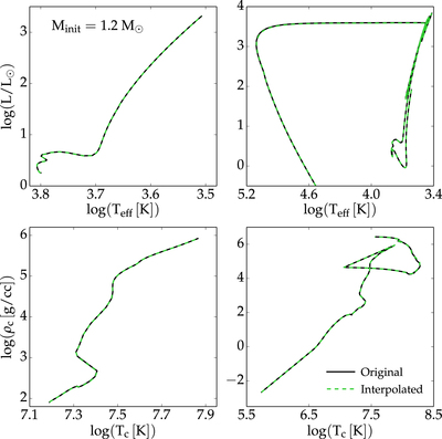
Caption: Figure 9.

Comparison of a 1.20 M stellar evolution track created by interpolation with one computed directly by MESA star.

Other Images in This Article

Show More

Copyright and Terms & Conditions