Image Details

Choose export citation format:

MESA ISOCHRONES AND STELLAR TRACKS (MIST) 0: METHODS FOR THE CONSTRUCTION OF STELLAR ISOCHRONES

  • Authors: Aaron Dotter

2016 The Astrophysical Journal Supplement Series 222 8.

  • Provider: AAS Journals

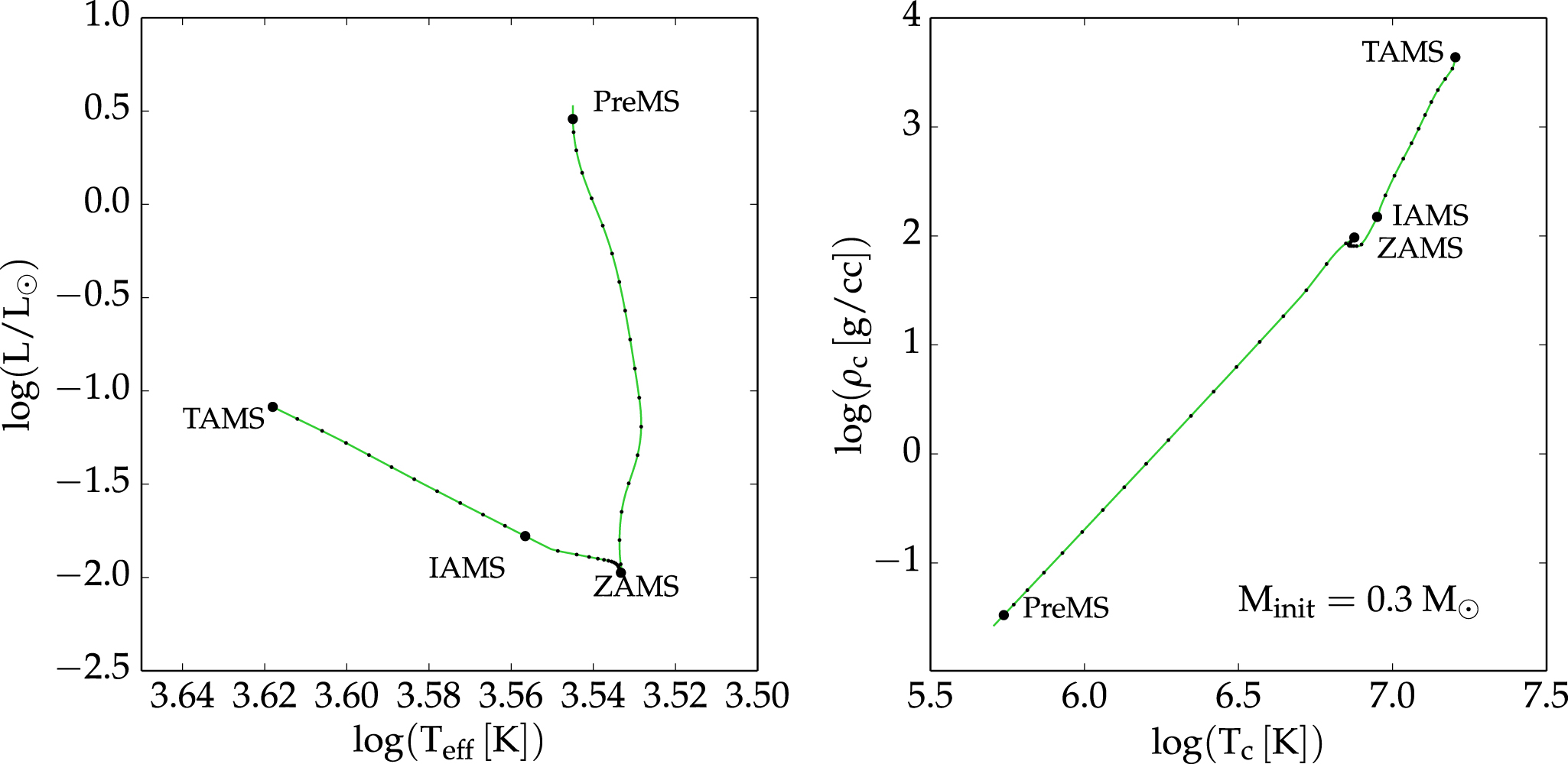
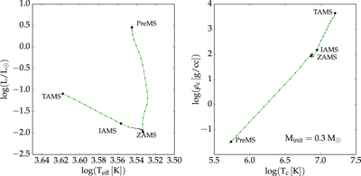
Caption: Figure 4.

A 0.3 M stellar evolution track in the H–R diagram (right) and the Tcρcdiagram (left). The original track is shown as the solid line. The primary EEPs described in Section 2.1 are labeled and marked by large dots; secondary EEPs described in Section 2.2 are shown as small dots along the track.

Other Images in This Article

Show More

Copyright and Terms & Conditions