Image Details

Choose export citation format:

MESA ISOCHRONES AND STELLAR TRACKS (MIST) 0: METHODS FOR THE CONSTRUCTION OF STELLAR ISOCHRONES

  • Authors: Aaron Dotter

2016 The Astrophysical Journal Supplement Series 222 8.

  • Provider: AAS Journals

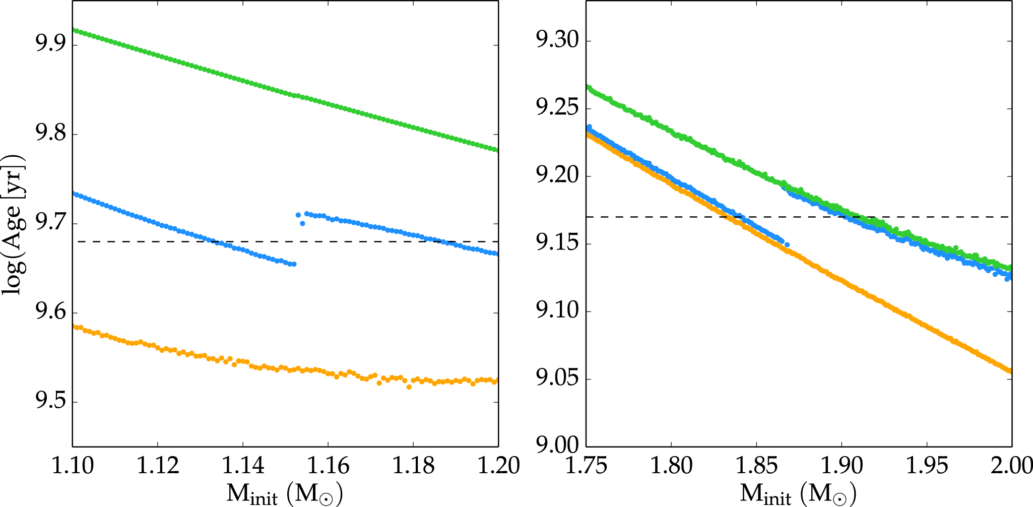
Caption: Figure 10.

Transitions in stellar physics lead to non-monotonic Minit–age relations in (at least) two cases. This figure demonstrates two cases where non-monotonicity occurs. Both panels show the Minit–age relations of three successive EEPs, denoted by different colors; the first and last EEPs (orange and green, respectively, in both panels) exhibit normal, monotonic behavior. The intermediate EEP (blue) exhibits non-monotonic behavior. Left: the transition from radiative to convective core on the MS. Right: the transition between degenerate and non-degenerate onset of core He burning (Girardi et al. 2013). Both panels show a sequence of EEPs during which the non-monotonic behavior appears. The dashed horizontal lines in each panel indicate isochrone ages for which multiple stars would appear in the same EEP (if allowed to).

Other Images in This Article

Show More

Copyright and Terms & Conditions