Image Details

Choose export citation format:

The Steep Redshift Evolution of the Hierarchical Binary Black Hole Merger Rate May Cause the z-χeff Correlation

  • Authors: Amanda M. Farah, Aditya Vijaykumar, Maya Fishbach

Amanda M. Farah et al 2026 The Astrophysical Journal Letters 1001 .

  • Provider: AAS Journals

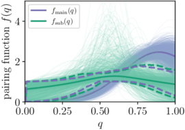
Caption: Figure 8.

Inferred pairing functions for the subpopulations when these are allowed to differ. The main population’s pairing function resembles what is inferred when the pairing is enforced to be identical between the two subpopulations, while the subpopulation’s pairing function resembles its prior (dashed lines).

Other Images in This Article

Show More

Copyright and Terms & Conditions

Additional terms of reuse