Image Details

Choose export citation format:

The Steep Redshift Evolution of the Hierarchical Binary Black Hole Merger Rate May Cause the z-χeff Correlation

  • Authors: Amanda M. Farah, Aditya Vijaykumar, Maya Fishbach

Amanda M. Farah et al 2026 The Astrophysical Journal Letters 1001 .

  • Provider: AAS Journals

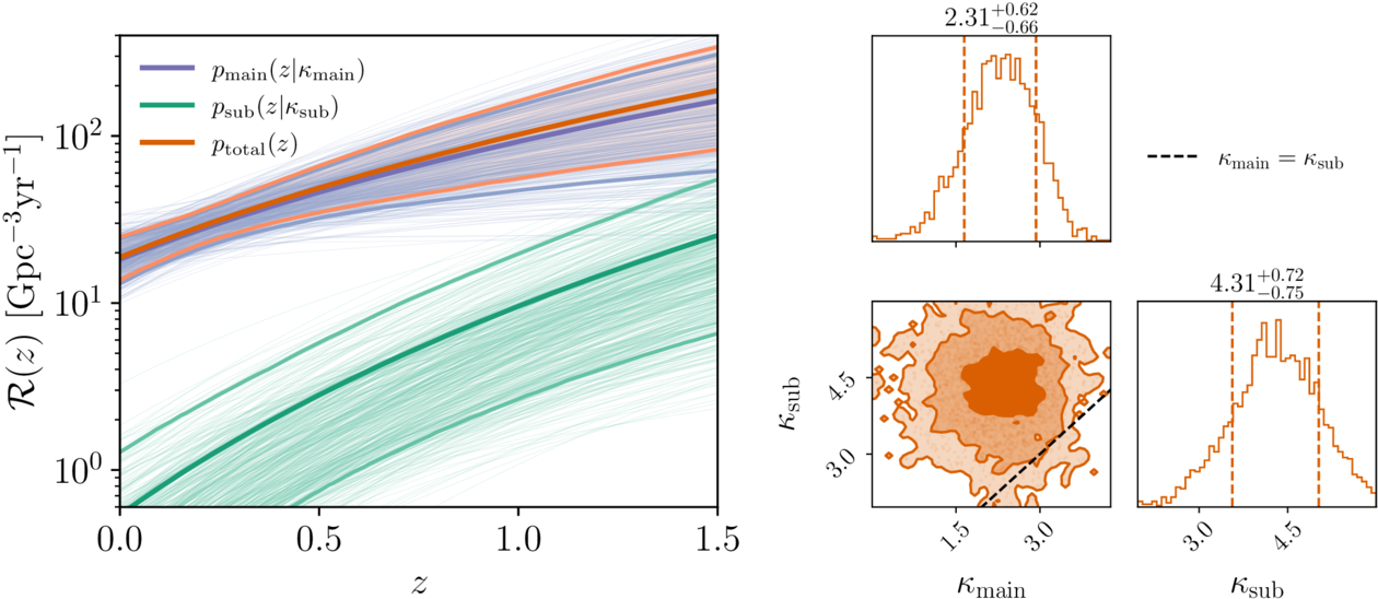
Caption: Figure 1.

The inferred merger rate evolution with redshift of our subpopulation of χ1 ≈ 0.7 BBHs (psub(zκsub), green in left panel) compared to that of the rest of the population (pmain(zκmain), violet in left panel). Individual draws from the main population and subpopulation are shown as thin lines, shaded bands show the 90% credible interval, and dark lines show the mean. As shown by the inferred power law indices for the main population and subpopulation (right panel), the spinning subpopulation has a steeper redshift distribution than the main population, causing a higher contribution to the overall rate (orange lines in the left panel) at high redshift than at low redshift. This is contrary to typical expectations of hierarchical mergers in star clusters, which necessitate slightly longer delay times for hierarchical mergers than the 1G mergers that precede them. The existence of a rapidly spinning subpopulation with a steep redshift evolution provides a natural explanation of the previously identified correlation between effective spin and redshift in the overall BBH population.

Other Images in This Article

Show More

Copyright and Terms & Conditions

Additional terms of reuse