Image Details

Choose export citation format:

The Steep Redshift Evolution of the Hierarchical Binary Black Hole Merger Rate May Cause the z-χeff Correlation

  • Authors: Amanda M. Farah, Aditya Vijaykumar, Maya Fishbach

Amanda M. Farah et al 2026 The Astrophysical Journal Letters 1001 .

  • Provider: AAS Journals

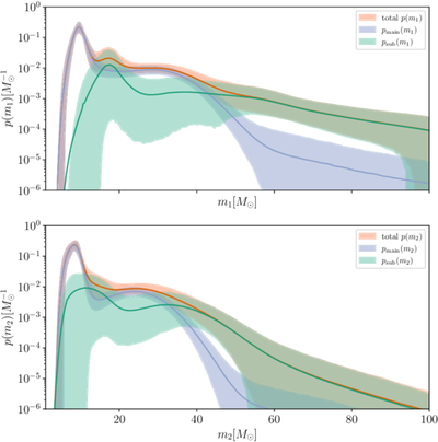
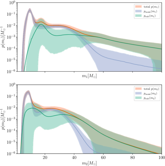
Caption: Figure 11.

Marginal primary (top) and secondary (bottom) mass distributions. These produce similar conclusions to those presented in Section 5.

Other Images in This Article

Show More

Copyright and Terms & Conditions

Additional terms of reuse