Image Details

Choose export citation format:

First Results from the PanRadio Gamma-Ray Burst Collaboration: The 400-day Afterglow of GRB 230815A

  • Authors: James K. Leung, Gemma E. Anderson, Alexander J. van der Horst, Claire Morley, Benjamin Schneider, Fabio De Colle, Om Sharan Salafia, Giancarlo Ghirlanda, Sarah I. Chastain, Adelle J. Goodwin, Ashna Gulati, Lauren Rhodes, Stuart D. Ryder, Ashley A. Chrimes, Valerio D'Elia, Mathieu de Bony de Lavergne, Massimiliano De Pasquale, Antonio de Ugarte Postigo, Dieter H. Hartmann, Benjamin P. Gompertz, Andrew J. Levan, Tara Murphy, Gavin P. Rowell, Thomas D. Russell, Fabian Schüssler, Rhaana L. C. Starling, Nial R. Tanvir, Susanna D. Vergani, Ralph A. M. J. Wijers

James K. Leung et al 2026 The Astrophysical Journal Letters 997 .

  • Provider: AAS Journals

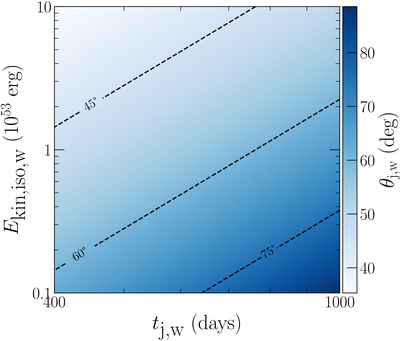
Caption: Figure 6.

The half-opening angle of the wider component θj,w (in degrees) as a function of the jet break tj,w (days) and isotropic-equivalent kinetic energy Ek,iso,w (erg). The dashed lines indicate the combinations of tj,w and Ek,iso,w that will yield θj,w of 45°, 60°, and 75°. We assume here the redshift and CBM density from Equation (9), effectively performing a relative scaling from the 2﹩\mathop{.}\limits^{\unicode{x000b0}}﹩1 narrow jet.

Other Images in This Article

Show More

Copyright and Terms & Conditions

Additional terms of reuse