Image Details

Choose export citation format:

First Results from the PanRadio Gamma-Ray Burst Collaboration: The 400-day Afterglow of GRB 230815A

  • Authors: James K. Leung, Gemma E. Anderson, Alexander J. van der Horst, Claire Morley, Benjamin Schneider, Fabio De Colle, Om Sharan Salafia, Giancarlo Ghirlanda, Sarah I. Chastain, Adelle J. Goodwin, Ashna Gulati, Lauren Rhodes, Stuart D. Ryder, Ashley A. Chrimes, Valerio D'Elia, Mathieu de Bony de Lavergne, Massimiliano De Pasquale, Antonio de Ugarte Postigo, Dieter H. Hartmann, Benjamin P. Gompertz, Andrew J. Levan, Tara Murphy, Gavin P. Rowell, Thomas D. Russell, Fabian Schüssler, Rhaana L. C. Starling, Nial R. Tanvir, Susanna D. Vergani, Ralph A. M. J. Wijers

James K. Leung et al 2026 The Astrophysical Journal Letters 997 .

  • Provider: AAS Journals

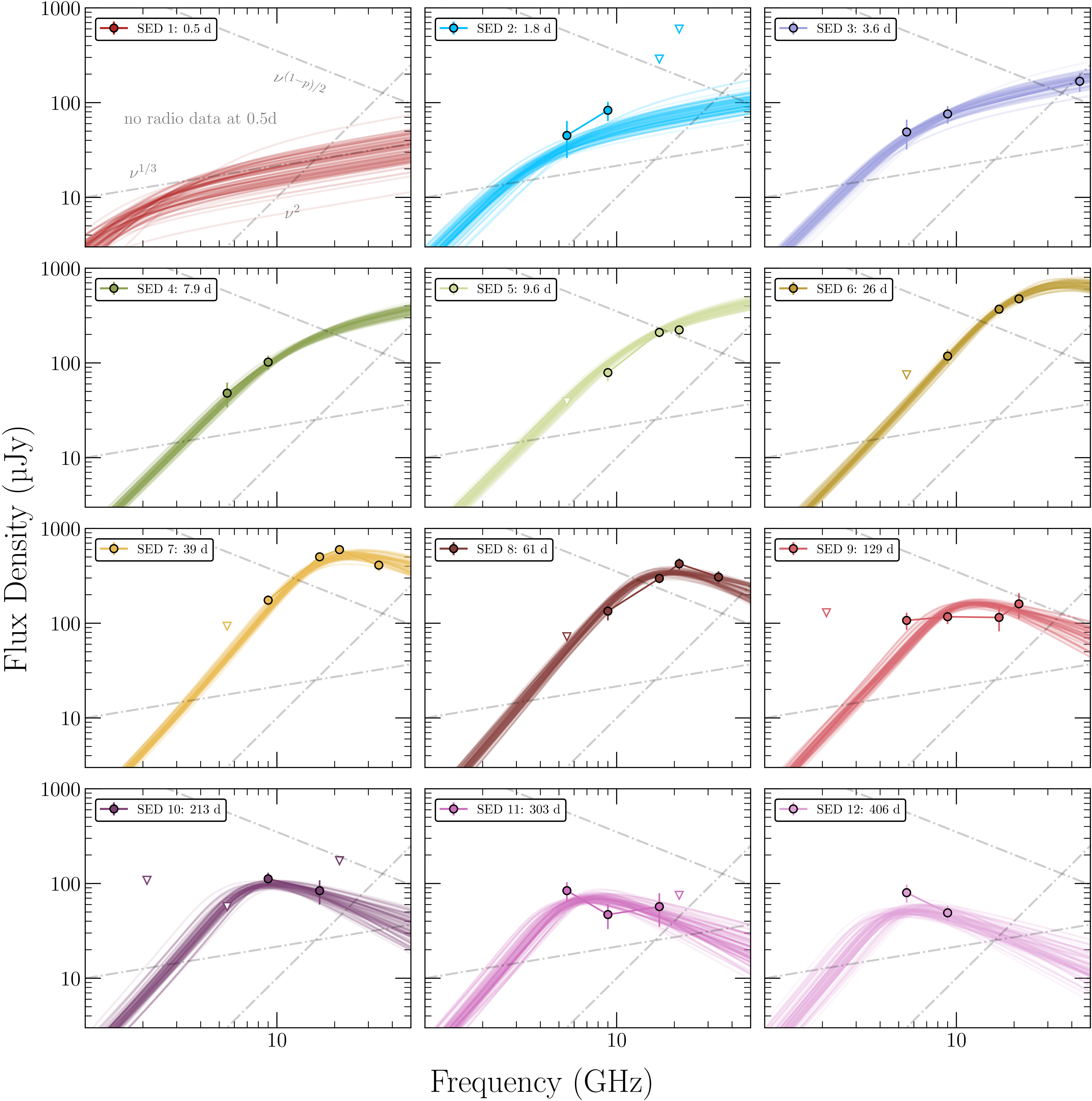
Caption: Figure 4.

Radio SEDs of GRB 230815A at the 12 different epochs constructed from the temporal windows shown in Figure 2. The epoch is labeled in the legend for each panel. The dotted–dashed lines are guide lines showing different spectral slopes. These spectral slopes are labeled in SED 1 (0.5 days postburst), with p = 2.2 adopted here (see the text). Detections are shown with filled circular markers, while 3σ upper limits for nondetections are shown using inverted triangular markers. The thin lines in each panel show model spectra from 100 random posterior samples from the nested sampling procedure performed to constrain our evolving synchrotron model in Section 3.4.

Other Images in This Article

Show More

Copyright and Terms & Conditions

Additional terms of reuse