Image Details

Choose export citation format:

Tidal Disruption of a Magnetized Star

  • Authors: Pavel Abolmasov, Omer Bromberg, Amir Levinson, Ehud Nakar

Pavel Abolmasov et al 2026 The Astrophysical Journal 1001 .

  • Provider: AAS Journals

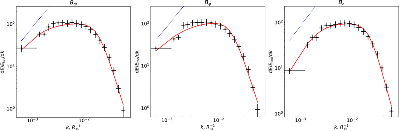
Caption: Figure 15.

PDSs of the three magnetic field components, Bϖ, Bφ, and Bz, averaged over 50 frames of the BHz simulation. The vertical error bars show the rms variation within the bin and between the frames. Solid red lines show the best fits with the empirical Equation (22). The dotted blue lines show Kazantsev’s power-law scaling ∝k3/2 with identical (arbitrary) normalization.

Other Images in This Article

Show More

Copyright and Terms & Conditions

Additional terms of reuse