Image Details

Choose export citation format:

Tidal Disruption of a Magnetized Star

  • Authors: Pavel Abolmasov, Omer Bromberg, Amir Levinson, Ehud Nakar

Pavel Abolmasov et al 2026 The Astrophysical Journal 1001 .

  • Provider: AAS Journals

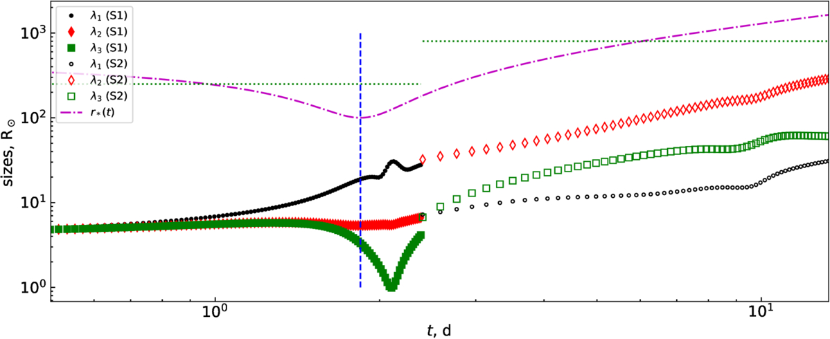
Caption: Figure 3.

Evolution of the three principal spatial dimensions of the debris cloud λi with time during the first two simulation stages. Solid symbols belong to S1, and open ones to S2. Green squares are λ3 (vertical direction). Black circles and red diamonds correspond, respectively, to λ1 (close to the propagation direction) and λ2. The sudden switch between λ1 and λ2 near t = 2.5 days is related to the gradual rotation of the principal axes with respect to the direction of motion. Horizontal dotted green lines are half-sizes of the simulation boxes. The pericenter passage is shown with a vertical blue line. A purple dotted–dashed line shows the distance between the star and the BH r*(t) as a function of time along the initial orbit.

Other Images in This Article

Show More

Copyright and Terms & Conditions

Additional terms of reuse