Image Details

Choose export citation format:

Tidal Disruption of a Magnetized Star

  • Authors: Pavel Abolmasov, Omer Bromberg, Amir Levinson, Ehud Nakar

Pavel Abolmasov et al 2026 The Astrophysical Journal 1001 .

  • Provider: AAS Journals

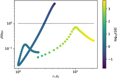
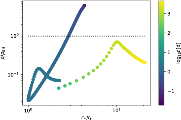
Caption: Figure 4.

Mean density (normalized by ﹩{\rho }_{{\rm{BH}}}={M}_{{\rm{BH}}}{r}_{* }^{-3}﹩) within the stellar debris (tracer condition s > 0.5) as a function of radial coordinate r* of the stellar center of mass throughout the simulation stages S1 and S2. Color indicates the time measured from the beginning of the simulation.

Other Images in This Article

Show More

Copyright and Terms & Conditions

Additional terms of reuse