Image Details

Choose export citation format:

Tidal Disruption of a Magnetized Star

  • Authors: Pavel Abolmasov, Omer Bromberg, Amir Levinson, Ehud Nakar

Pavel Abolmasov et al 2026 The Astrophysical Journal 1001 .

  • Provider: AAS Journals

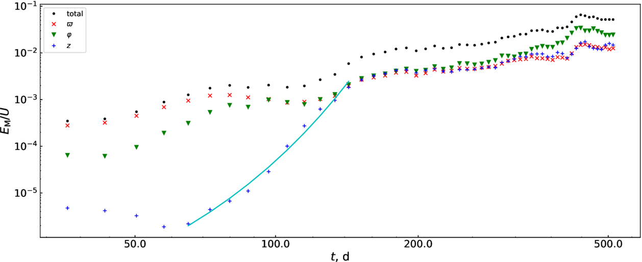
Caption: Figure 10.

Magnetic field energies in the units of total heat (integrated over stellar material) as a function of time for the simulation BH 2. Black dots are total EM, red crosses are ﹩{E}_{\varpi }^{{\rm{M}}}﹩, green triangles are ﹩{E}_{\varphi }^{{\rm{M}}}﹩, and blue crosses are ﹩{E}_{z}^{{\rm{M}}}﹩. The solid cyan line is an exponential fit to ﹩{E}_{z}^{{\rm{M}}}﹩ in the range 60 days < t < 150 days.

Other Images in This Article

Show More

Copyright and Terms & Conditions

Additional terms of reuse