Image Details

Choose export citation format:

Forged by Feedback: Stellar Properties of Brightest Group Galaxies in Cosmological Simulations

  • Authors: Ruxin Barré, Arif Babul, Ghassem Gozaliasl, Alexis Finoguenov, Romeel Davé, Aviv Padawer-Blatt, Douglas Rennehan, Vida Saeedzadeh, Renier T. Hough, Thomas R. Quinn

Ruxin Barré et al 2026 The Astrophysical Journal 1001 .

  • Provider: AAS Journals

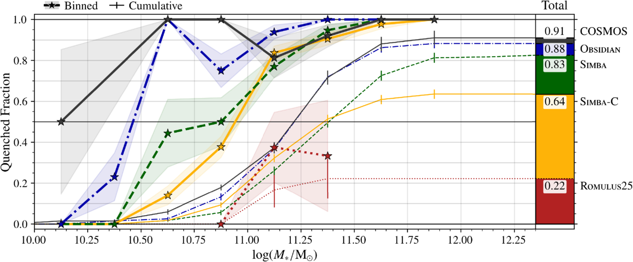
Caption: Figure 7.

BGG quenched fractions. BGGs are considered quenched if they lie more than 0.75 dex below the K. E. Whitaker et al. (2012) SFMS (see Figure 6). The thick lines and star symbols show the relative quenched fractions in stellar mass bins of width 0.25 dex that contain ≥2 BGGs, with the associated shaded regions depicting the fractions’ estimated uncertainty. The thin lines and error bars, respectively, represent the cumulative quenched fractions and their uncertainty as a function of stellar mass. Each sample’s total BGG quenched fraction is illustrated by the overlaid bar plot on the right. COSMOS fractions are shown in gray, ROMULUS25 in red, SIMBA in green, SIMBA-C in yellow, and OBSIDIAN in blue.

Other Images in This Article
Copyright and Terms & Conditions

Additional terms of reuse