Image Details

Choose export citation format:

Impact of Rotation on Magnetic Field Stability and Orientation in Isolated Neutron Stars

  • Authors: Fabrizio Venturi Piñas, Anson Ka Long Yip, Patrick Chi-Kit Cheong, Milton Ruiz

Fabrizio Venturi Piñas et al 2026 The Astrophysical Journal 1001 .

  • Provider: AAS Journals

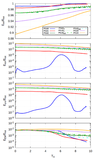
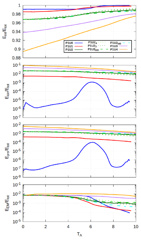
Caption: Figure 8.

Evolution of the internal energy Eint (top panel), the kinetic Ekin energy (second panel), the pressure energy Eprs (third panel), and the electromagnetic energy EEM (bottom panel) normalized by Etot for all simulations of the models listed in Table 1, along with those models in appendices Appendix A and B.

Other Images in This Article

Show More

Copyright and Terms & Conditions

Additional terms of reuse