Image Details

Choose export citation format:

Impact of Rotation on Magnetic Field Stability and Orientation in Isolated Neutron Stars

  • Authors: Fabrizio Venturi Piñas, Anson Ka Long Yip, Patrick Chi-Kit Cheong, Milton Ruiz

Fabrizio Venturi Piñas et al 2026 The Astrophysical Journal 1001 .

  • Provider: AAS Journals

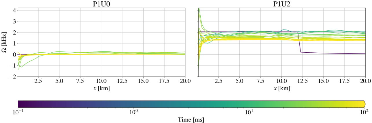
Caption: Figure 5.

Angular velocity profiles along the coordinate x-axis for the nonrotating case P1U0 (left panel) and the mildly rotating case P1U2 (right panel). Differential rotation spontaneously develops in the cores of the stars (roughly in the region contained within ≲3 km) regardless of their initial rotation profile. Similar behavior is observed in the other cases in Table 1.

Other Images in This Article

Show More

Copyright and Terms & Conditions

Additional terms of reuse