Image Details

Choose export citation format:

Impact of Rotation on Magnetic Field Stability and Orientation in Isolated Neutron Stars

  • Authors: Fabrizio Venturi Piñas, Anson Ka Long Yip, Patrick Chi-Kit Cheong, Milton Ruiz

Fabrizio Venturi Piñas et al 2026 The Astrophysical Journal 1001 .

  • Provider: AAS Journals

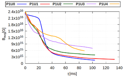
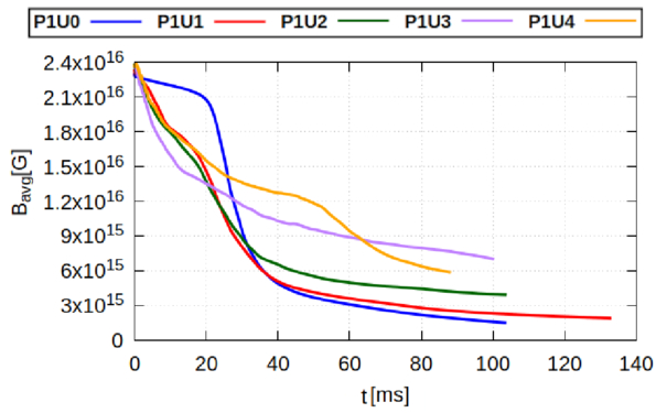
Caption: Figure 4.

Evolution of the average magnetic field strength Bavg vs. the coordinate time for models listed in Table 1. The rate at which the magnetic field decays strongly depends on the initial angular velocity of the system.

Other Images in This Article

Show More

Copyright and Terms & Conditions

Additional terms of reuse