Image Details

Choose export citation format:

Impact of Rotation on Magnetic Field Stability and Orientation in Isolated Neutron Stars

  • Authors: Fabrizio Venturi Piñas, Anson Ka Long Yip, Patrick Chi-Kit Cheong, Milton Ruiz

Fabrizio Venturi Piñas et al 2026 The Astrophysical Journal 1001 .

  • Provider: AAS Journals

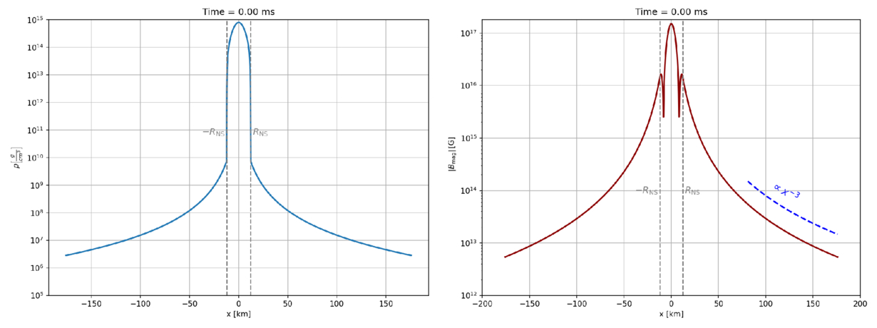
Caption: Figure 2.

One-dimensional plots along the coordinate x-axis for model P1U0. Left panel: density in log-scale. Right panel: magnetic field strength in log-scale. Gray dashed lines represent the NS initial radius RNS(t = 0).

Other Images in This Article

Show More

Copyright and Terms & Conditions

Additional terms of reuse