Image Details

Choose export citation format:

Impact of Rotation on Magnetic Field Stability and Orientation in Isolated Neutron Stars

  • Authors: Fabrizio Venturi Piñas, Anson Ka Long Yip, Patrick Chi-Kit Cheong, Milton Ruiz

Fabrizio Venturi Piñas et al 2026 The Astrophysical Journal 1001 .

  • Provider: AAS Journals

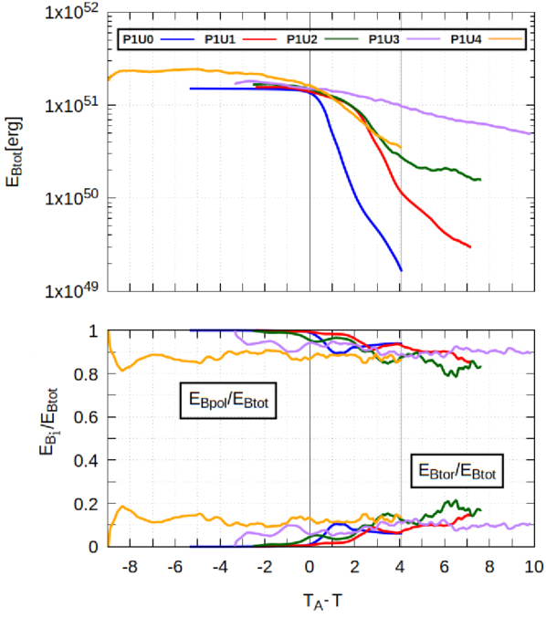
Caption: Figure 7.

Total magnetic field energy ﹩{E}_{{B}_{{\rm{tot}}}}﹩ (up) and normalized toroidal magnetic field energy ﹩{E}_{{B}_{{\rm{tor}}}}﹩ and poloidal magnetic field energy ﹩{E}_{{B}_{{\rm{pol}}}}﹩ (down) vs. TA − T. Here, T is the time at which ﹩{E}_{{B}_{{\rm{tot}}}}﹩ has decreased by 10% of its initial value, which is our definition of the onset of the magnetic instabilities. The vertical gray line marks the termination of the P1U0 and P1U4 simulations. ﹩{E{}_{{\rm{B}}}}_{{\rm{i}}}﹩ denotes either ﹩{E{}_{{\rm{B}}}}_{{\rm{tor}}}﹩ or ﹩{E{}_{{\rm{B}}}}_{{\rm{pol}}}﹩ components.

Other Images in This Article

Show More

Copyright and Terms & Conditions

Additional terms of reuse