Image Details

Choose export citation format:

Continuous Gravitational Waves from Magnetized White Dwarfs: Quantifying the Detection Plausibility by LISA

  • Authors: Mayusree Das, Banibrata Mukhopadhyay, Tomasz Bulik

Mayusree Das et al 2025 The Astrophysical Journal 995 .

  • Provider: AAS Journals

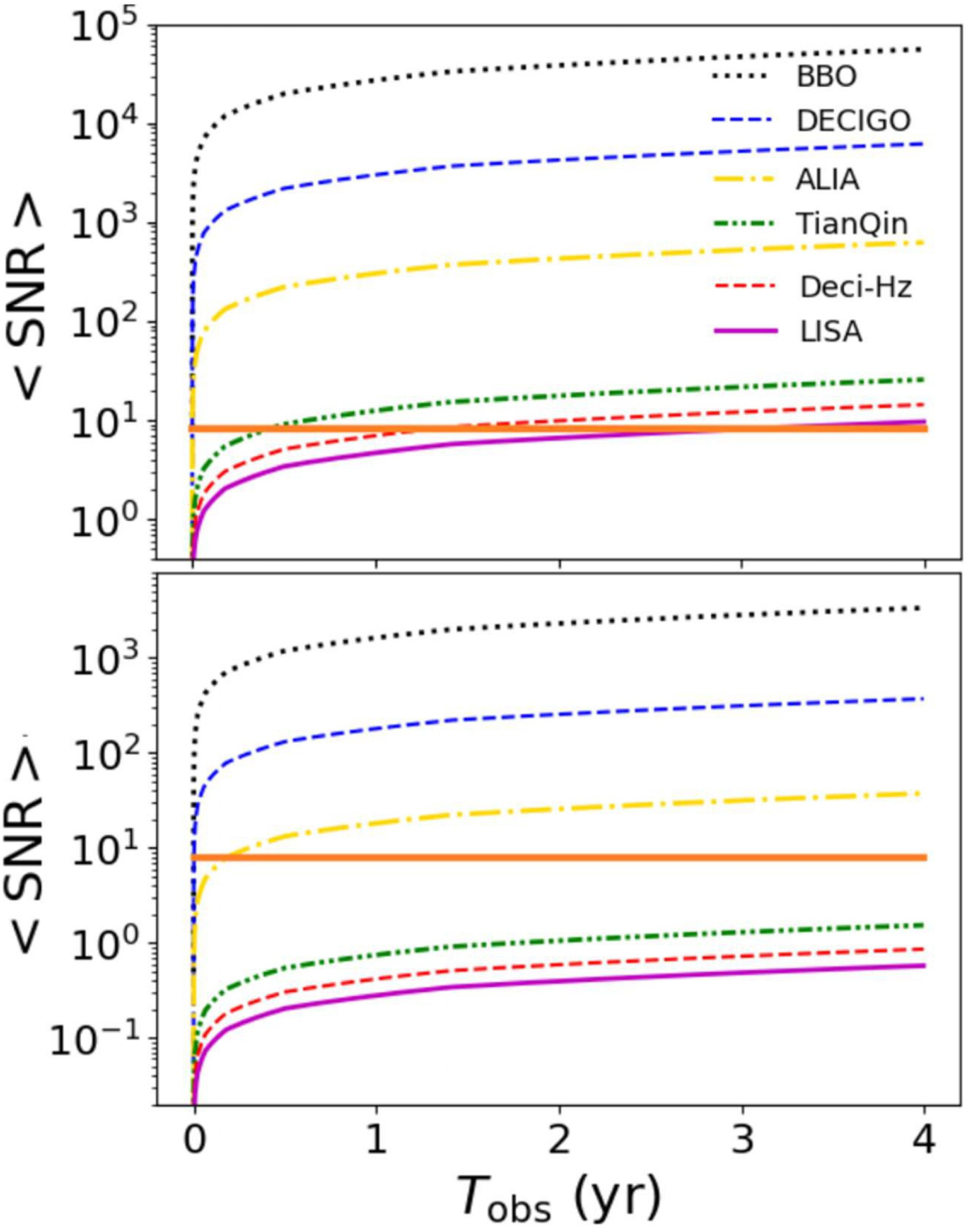
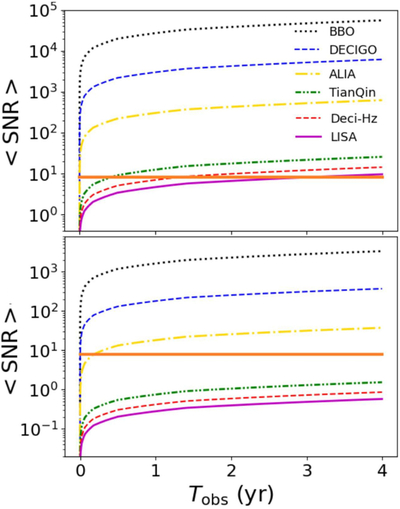
Caption: Figure 9.

Top panel: SNR of WD1+BP (of M = 1.83 M) for various detectors as a function of integration time assuming d = 1 kpc. Bottom panel: same as the top panel, except for WD3 (of M = 1.42 M)—a WD with a weaker toroidal magnetic field. The orange line corresponds to SNRth = 8.

Other Images in This Article

Show More

Copyright and Terms & Conditions

Additional terms of reuse