Image Details

Choose export citation format:

Continuous Gravitational Waves from Magnetized White Dwarfs: Quantifying the Detection Plausibility by LISA

  • Authors: Mayusree Das, Banibrata Mukhopadhyay, Tomasz Bulik

Mayusree Das et al 2025 The Astrophysical Journal 995 .

  • Provider: AAS Journals

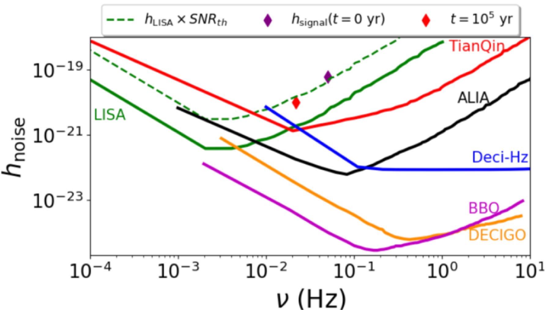
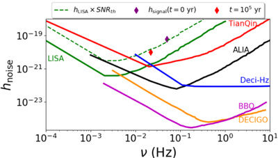
Caption: Figure 8.

Characteristic strains using Equation (17) for WDs like WD1+BP (﹩{B}_{\max }^{\mathrm{Toroidal}}=4\times 1{0}^{13}﹩ G, ﹩{B}_{p}^{\mathrm{Poloidal}}=8\times 1{0}^{8}﹩ G, initial ν = 0.05 Hz and initial χ = 3, d = 1 kpc) at young (t ∼ 0) and old (near the end of the active timescale, t = 105 yr) ages are shown along with detector sensitivities.

Other Images in This Article

Show More

Copyright and Terms & Conditions

Additional terms of reuse