Image Details

Choose export citation format:

Continuous Gravitational Waves from Magnetized White Dwarfs: Quantifying the Detection Plausibility by LISA

  • Authors: Mayusree Das, Banibrata Mukhopadhyay, Tomasz Bulik

Mayusree Das et al 2025 The Astrophysical Journal 995 .

  • Provider: AAS Journals

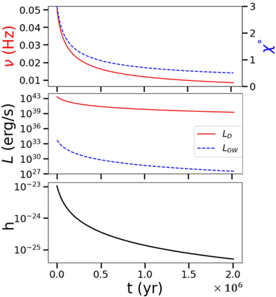
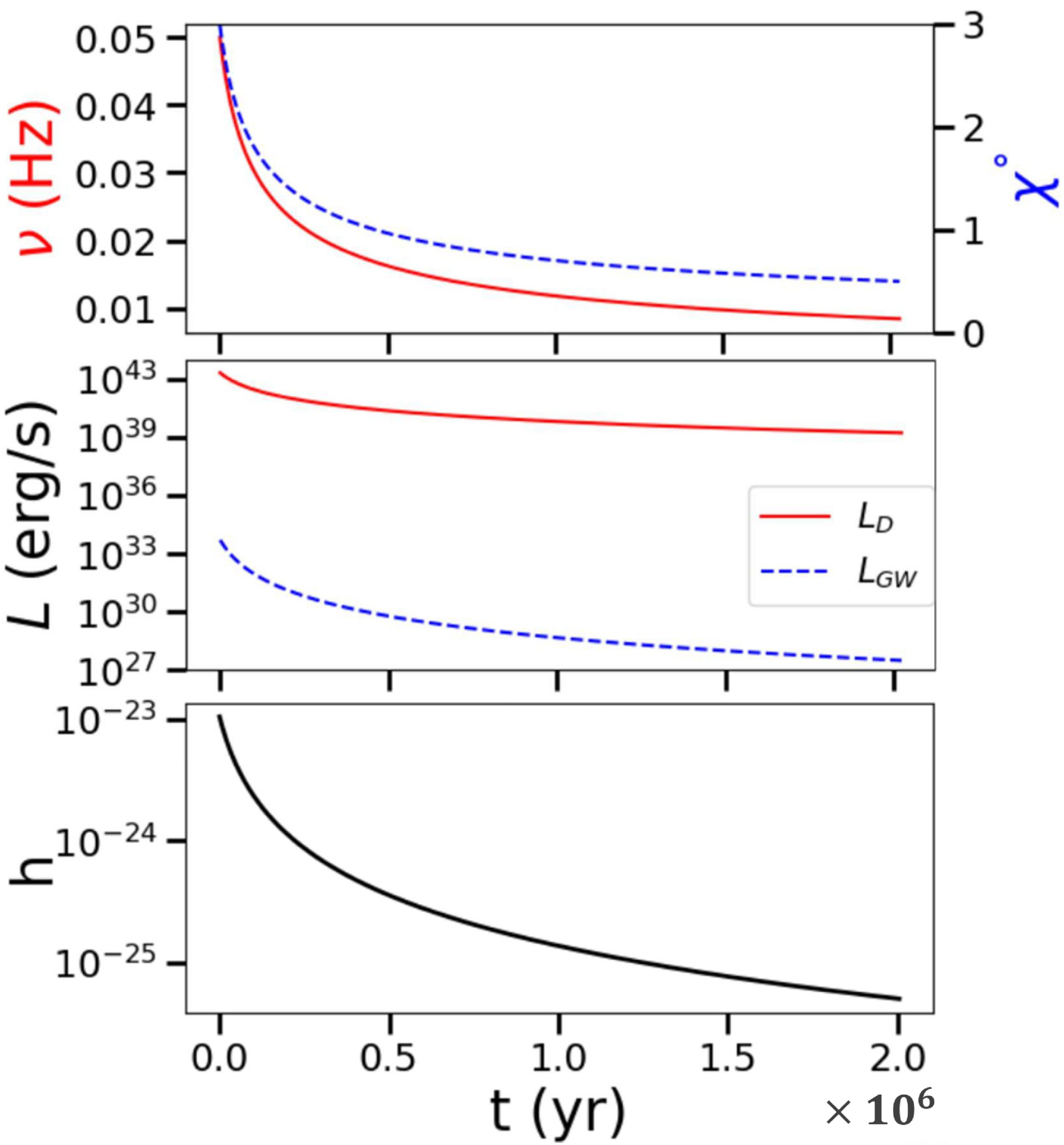
Caption: Figure 4.

Top panel: decay of ν (red solid) and χ (blue dashed) as functions of time for initial ν = 0.05 Hz, χ = 3 for a toroidally dominated WD—WD1+BP ( ﹩{B}_{max}^{{\rm{Toroidal}}}=4\times 1{0}^{13}﹩ G, ﹩{B}_{p}^{{\rm{Poloidal}}}=8\times 1{0}^{8}﹩ G) with a magnetosphere. For the same WD, the middle panel shows the variation of luminosities, and the bottom panel shows GW strain decay with time.

Other Images in This Article

Show More

Copyright and Terms & Conditions

Additional terms of reuse