Image Details

Choose export citation format:

Continuous Gravitational Waves from Magnetized White Dwarfs: Quantifying the Detection Plausibility by LISA

  • Authors: Mayusree Das, Banibrata Mukhopadhyay, Tomasz Bulik

Mayusree Das et al 2025 The Astrophysical Journal 995 .

  • Provider: AAS Journals

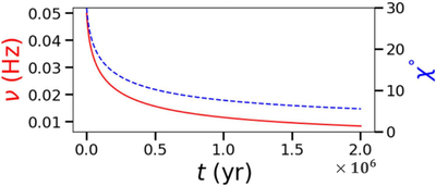
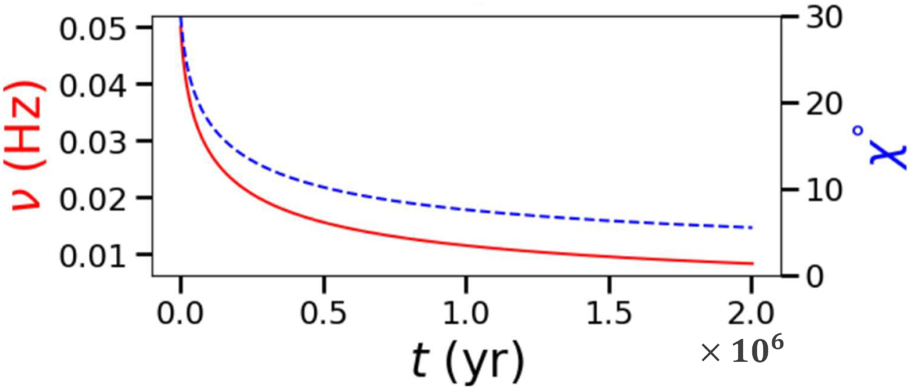
Caption: Figure 5.

Same as the top panel of Figure 4, except with an initial χ = 30°.

Other Images in This Article

Show More

Copyright and Terms & Conditions

Additional terms of reuse