Image Details

Choose export citation format:

Continuous Gravitational Waves from Magnetized White Dwarfs: Quantifying the Detection Plausibility by LISA

  • Authors: Mayusree Das, Banibrata Mukhopadhyay, Tomasz Bulik

Mayusree Das et al 2025 The Astrophysical Journal 995 .

  • Provider: AAS Journals

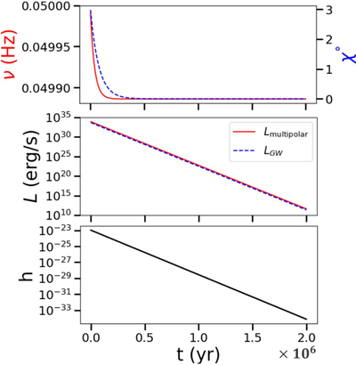
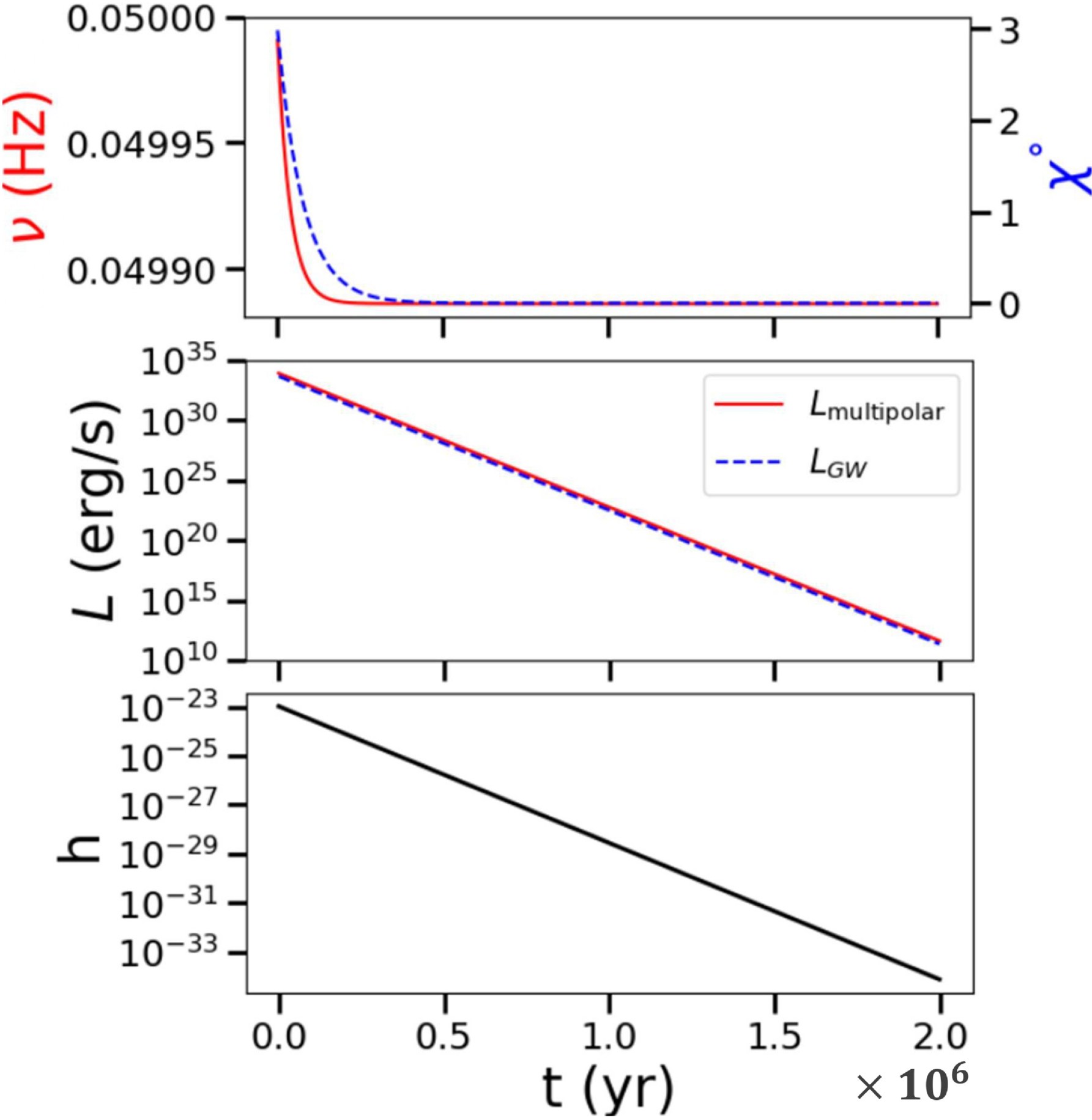
Caption: Figure 7.

Same as Figure 6, except that the WD1 has a subdominant nonzero multipolar field.

Other Images in This Article

Show More

Copyright and Terms & Conditions

Additional terms of reuse