Image Details

Choose export citation format:

Continuous Gravitational Waves from Magnetized White Dwarfs: Quantifying the Detection Plausibility by LISA

  • Authors: Mayusree Das, Banibrata Mukhopadhyay, Tomasz Bulik

Mayusree Das et al 2025 The Astrophysical Journal 995 .

  • Provider: AAS Journals

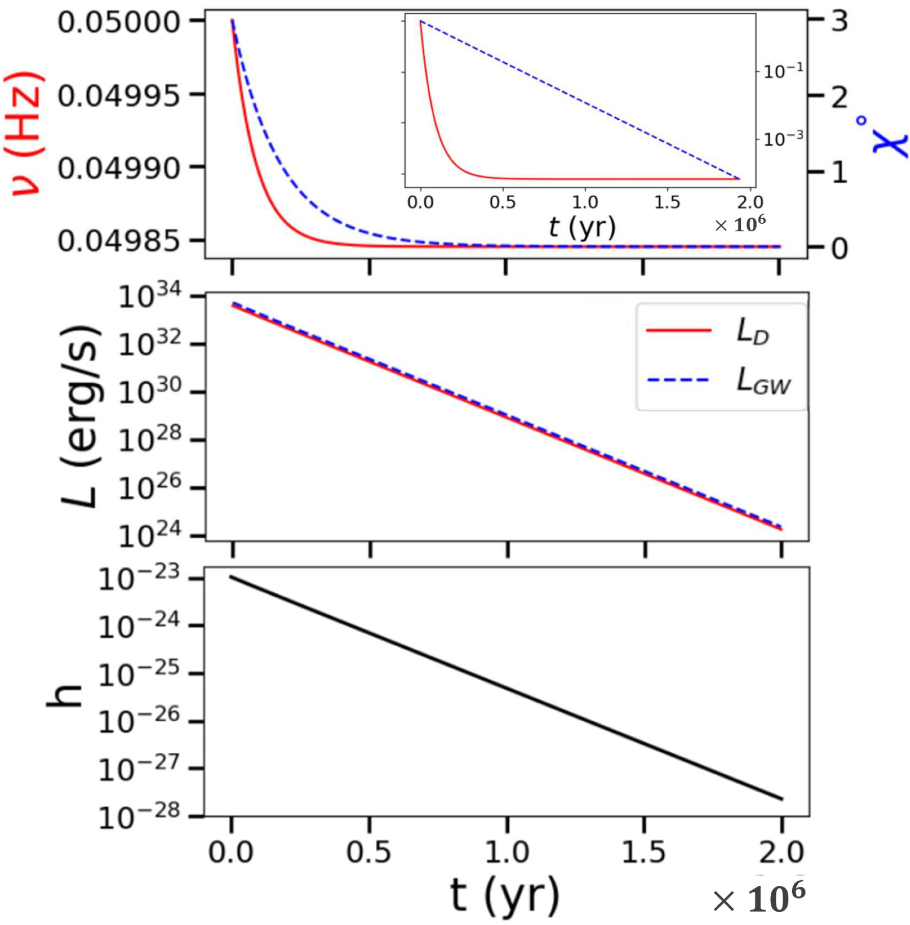
Caption: Figure 6.

Same as Figure 4, except for WD1+BP but without a magnetosphere. As χ → 0, the decays are shown in log scale too in the inset in the top panel.

Other Images in This Article

Show More

Copyright and Terms & Conditions

Additional terms of reuse