Image Details

Choose export citation format:

Continuous Gravitational Waves from Magnetized White Dwarfs: Quantifying the Detection Plausibility by LISA

  • Authors: Mayusree Das, Banibrata Mukhopadhyay, Tomasz Bulik

Mayusree Das et al 2025 The Astrophysical Journal 995 .

  • Provider: AAS Journals

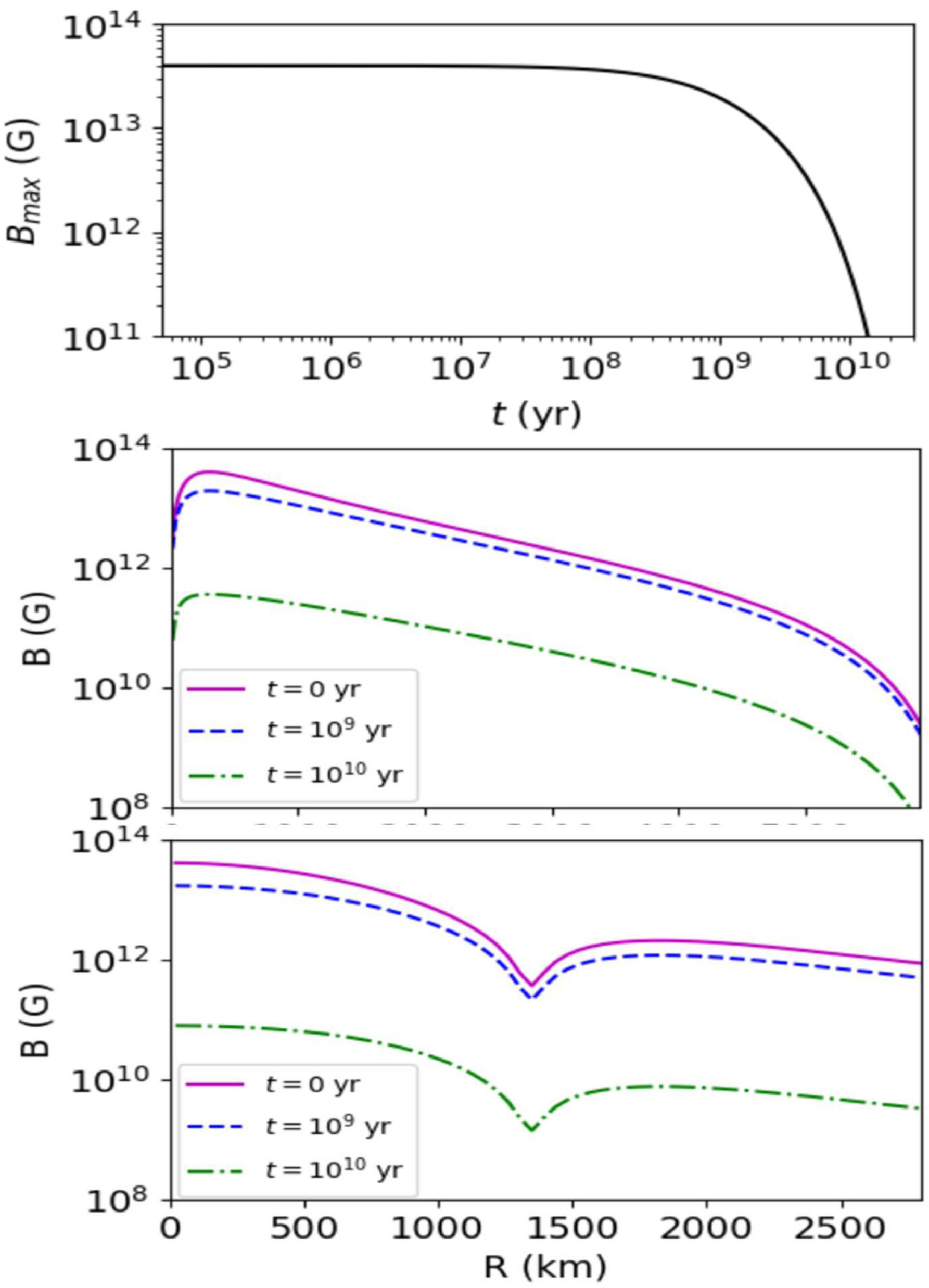
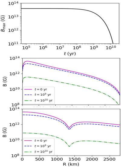
Caption: Figure 3.

Top panel: the decay of maximum magnetic ﹩{B}_{{\rm{\max }}}=4\times 1{0}^{13}﹩ G with time for WD1 and WD2 with radius 5708 and 2815 km, respectively. Middle: magnetic field as a function of radius, before and after magnetic field decay for toroidal field (WD1). Bottom panel: same as the middle panel, except for poloidal field (WD2).

Other Images in This Article

Show More

Copyright and Terms & Conditions

Additional terms of reuse