Image Details

Choose export citation format:

The SPOTS Models: A Grid of Theoretical Stellar Evolution Tracks and Isochrones for Testing the Effects of Starspots on Structure and Colors

  • Authors: Garrett Somers, Lyra Cao, and Marc H. Pinsonneault

2020 The Astrophysical Journal 891 29.

  • Provider: AAS Journals

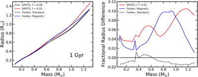
Caption: Figure 5.

Comparison between the SPOTS models and Feiden models at 1 Gyr. Left: the mass–radius relation of non-magnetic and magnetic versions of both SPOTS and Feiden models. Right: same as the left, but detrended against the fspot = 0.00 SPOTS model. Both magnetic models predict inflation rates of 3%–10%, but the morphology of the mass-dependent inflation percentage differs. Their similarity is encouraging, given the many different choices made in constructing the two isochrones.

Other Images in This Article
Copyright and Terms & Conditions