Image Details

Choose export citation format:

The SPOTS Models: A Grid of Theoretical Stellar Evolution Tracks and Isochrones for Testing the Effects of Starspots on Structure and Colors

  • Authors: Garrett Somers, Lyra Cao, and Marc H. Pinsonneault

2020 The Astrophysical Journal 891 29.

  • Provider: AAS Journals

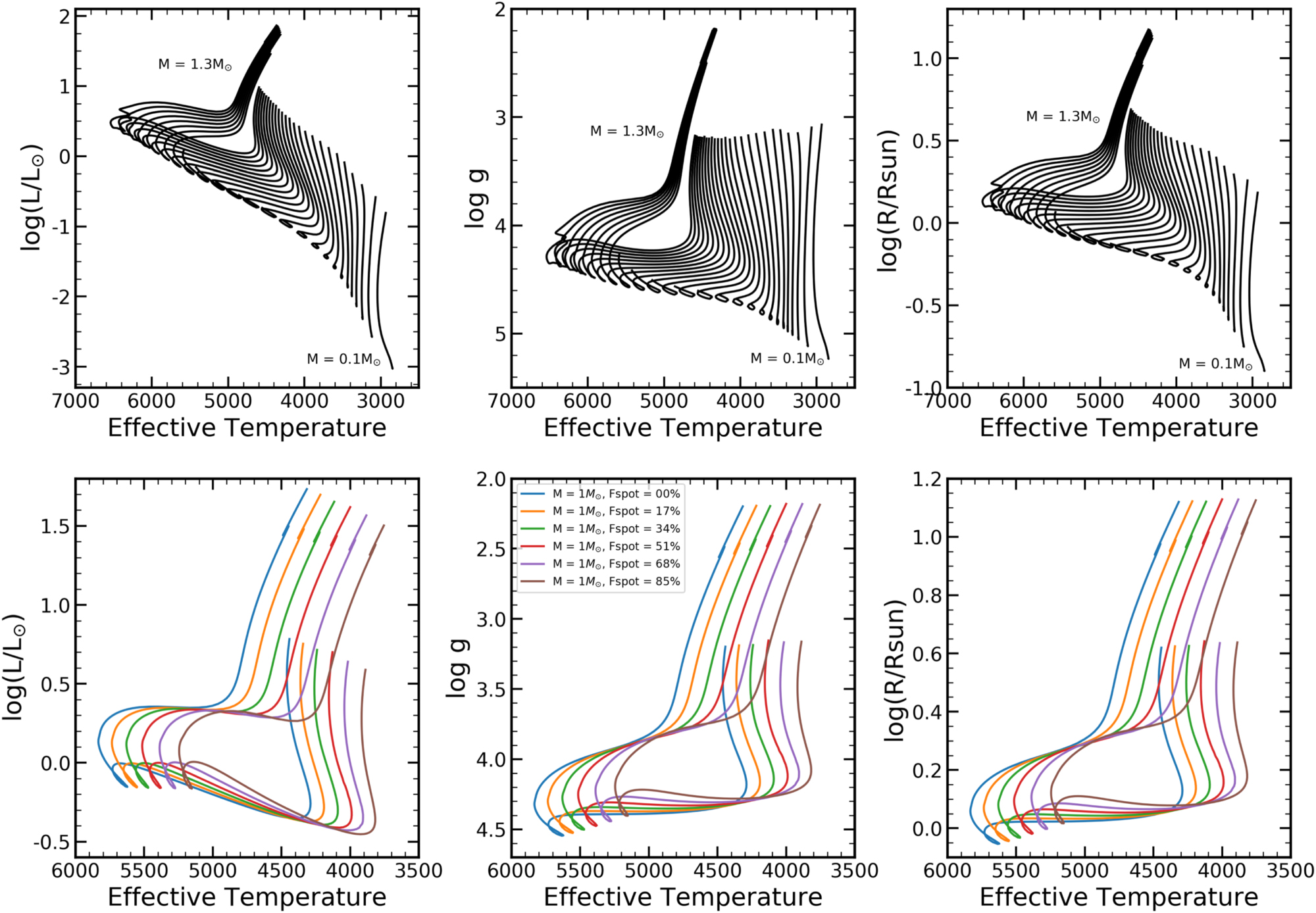
Caption: Figure 2.

Individual stellar tracks from the SPOTS models. Top row: diagrams of the luminosity (left), surface gravity (center), and radius (right) versus Teff for our un-spotted models from 0.1 to 1.3 M. Bottom row: an illustration of the influence of starspots on the a 1 M stellar model. From blue to brown, the starspot intensity increases, as indicated by the caption in the center panel. The primary effect of spots is to reduce Teff and increase the radius by up to ∼15%.

Other Images in This Article
Copyright and Terms & Conditions