Image Details

Choose export citation format:

Asteroseismic Determination of Obliquities of the Exoplanet Systems Kepler-50 and Kepler-65

  • Authors: W. J. Chaplin, R. Sanchis-Ojeda, T. L. Campante, R. Handberg, D. Stello, J. N. Winn, S. Basu, J. Christensen-Dalsgaard, G. R. Davies, T. S. Metcalfe, L. A. Buchhave, D. A. Fischer, T. R. Bedding, W. D. Cochran, Y. Elsworth, R. L. Gilliland, S. Hekker, D. Huber, H. Isaacson, C. Karoff, S. D. Kawaler, H. Kjeldsen, D. W. Latham, M. N. Lund, M. Lundkvist, G. W. Marcy, A. Miglio, T. Barclay, and J. J. Lissauer

Chaplin et al. 2013 The Astrophysical Journal 766 101.

  • Provider: AAS Journals

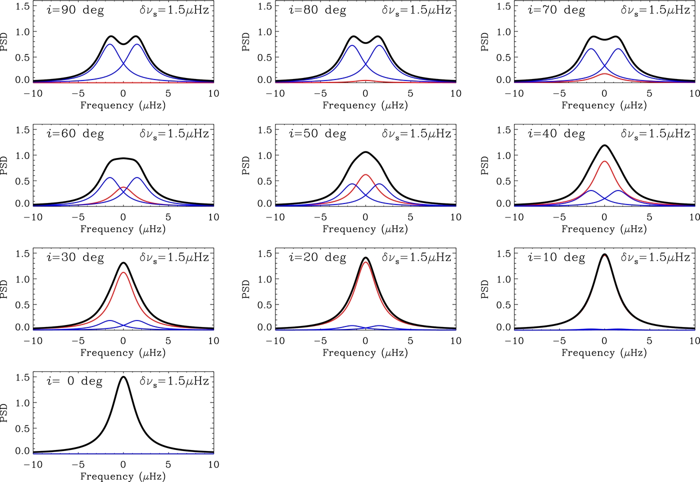
Caption: Figure 7.

Theoretical profiles of an l = 1 mode observed at different stellar inclination angles, i s. The m = ±1 components are plotted in blue, the m = 0 components in red, and the thick black line shows the combined multiplet profile. The peak linewidth of each component is Γ = 3.0 μHz and the rotational frequency splitting is δν s = 1.5 μHz. Panels in the left-hand column show the appearances of the multiplet for each of the angles illustrated in Figure 6.

Other Images in This Article
Copyright and Terms & Conditions