Image Details

Choose export citation format:

21,864 Unresolved, Low-mass Binaries Identified via Their Overluminosity in Gaia Data Release 3 and a Catalog of 347,440 Systems within 100 pc of the Sun

  • Authors: Zachary Way, Sébastien Lépine, Jonathan Gagné, Ilija Medan

Zachary Way et al 2026 The Astronomical Journal 171 .

  • Provider: AAS Journals

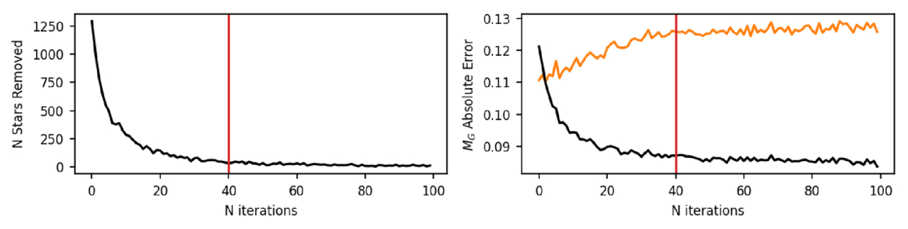
Caption: Figure 5.

The progress of our iterative method is shown in two aspects. Left panel: number of stars flagged as “overluminous” and removed at each iteration. Right panel: absolute error in the predicted absolute magnitude after each iteration. The error for each iteration’s test sample is shown in black, and the error for the full sample (including the overluminous systems) is shown in orange. We can see that there are progressive gains, but with diminishing returns. We note the elbow in the total sample’s error, where we identify that each iteration is no longer removing binaries. We mark the 40th iteration as the breaking point by eye and use this as our terminal model.

Other Images in This Article

Show More

Copyright and Terms & Conditions

Additional terms of reuse