Image Details

Choose export citation format:

21,864 Unresolved, Low-mass Binaries Identified via Their Overluminosity in Gaia Data Release 3 and a Catalog of 347,440 Systems within 100 pc of the Sun

  • Authors: Zachary Way, Sébastien Lépine, Jonathan Gagné, Ilija Medan

Zachary Way et al 2026 The Astronomical Journal 171 .

  • Provider: AAS Journals

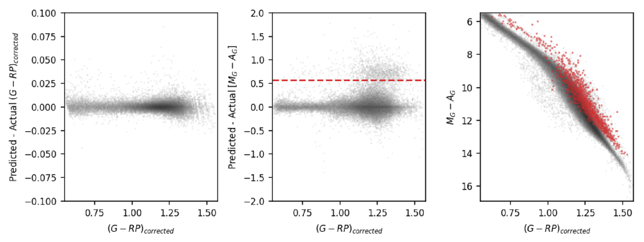
Caption: Figure 4.

Comparison between the predictions from our first HISTGRADIENTBOOSTINGREGRESSOR model and the measured values from Gaia. Left panel: precision of the predicted color compared to the measured values. The low scatter shows that we recover this feature well. Middle panel: precision of the absolute magnitude prediction. Unlike the color, there is a cloud of stars hovering above the central distribution. These systems have a lower absolute magnitude and are therefore brighter than their prediction: overluminous binary systems. We identify these systems with the dashed red line, which lies at three standard deviations above zero. Right panel: Overluminous sources are highlighted in red on a Gaia CMD.

Other Images in This Article

Show More

Copyright and Terms & Conditions

Additional terms of reuse