Image Details

Choose export citation format:

Bayesian Analysis for Remote Biosignature Identification on exoEarths (BARBIE). IV. Analyzing CO2 Detections in the Near-IR to Determine the Long-wavelength Cutoff for the Habitable Worlds Observatory Coronagraph

  • Authors: Celeste Hagee, Natasha Latouf, Avi M. Mandell, Michael D. Himes, Michael Dane Moore, Geronimo L. Villanueva

Celeste Hagee et al 2026 The Astronomical Journal 171 .

  • Provider: AAS Journals

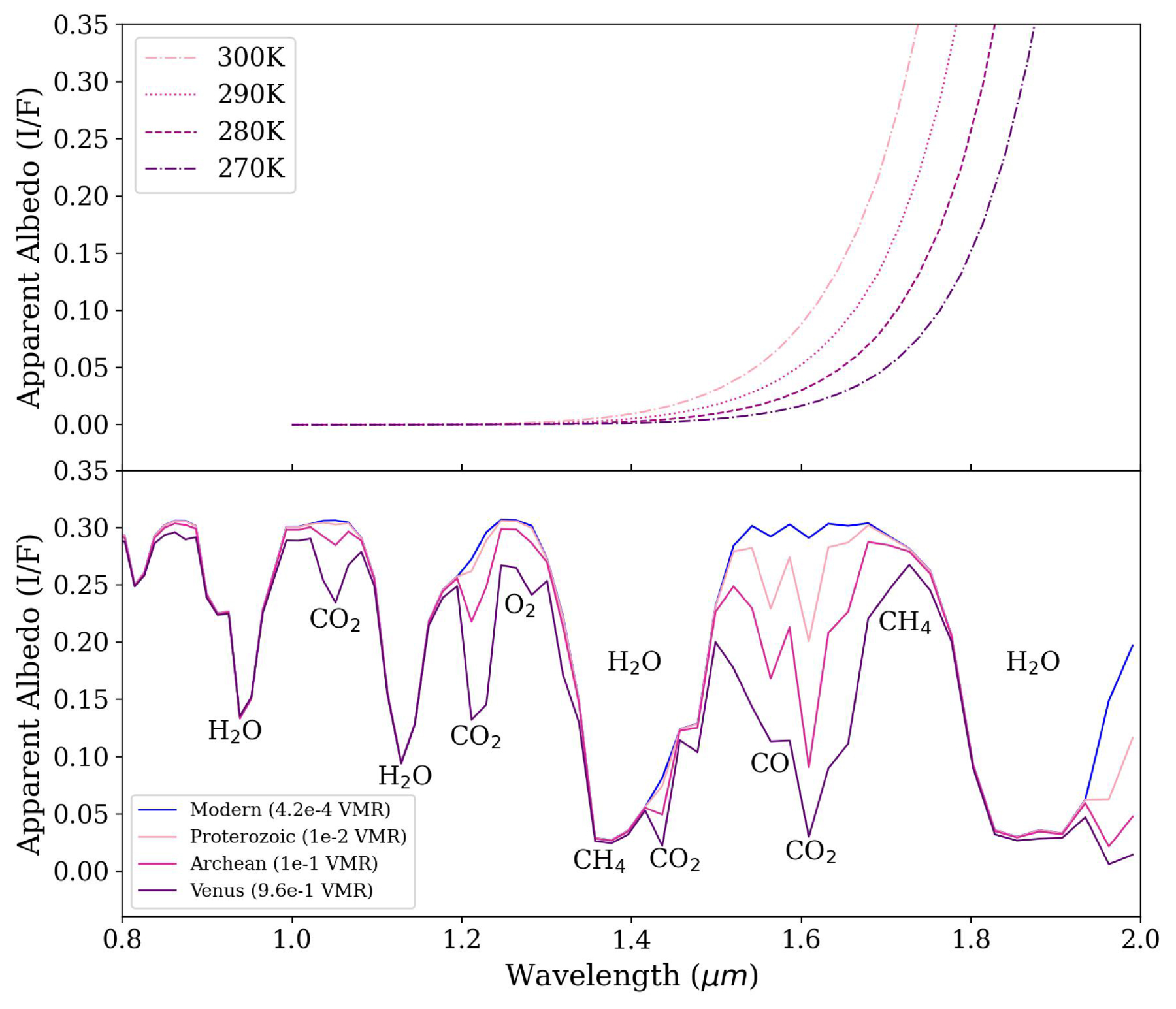
Caption: Figure 1.

Illustrates the balancing act of keeping thermal noise minimal while maximizing the detectability of spectral features like CO2 and CO. The top plot shows the relative noise based on varying telescope temperature between 0.8 and 2.0 μm. The bottom plot shows spectral features from 0.8 to 2.0 μm of H2O, CH4, O2, CO, and CO2. We plot a modern-Earth spectra using the Planetary Spectrum Generator (PSG) with four varying CO2 abundances: Modern (4.2 × 10−4 VMR) in dark blue, Proterozoic-like (1 × 10−2 VMR) in light pink, Archean-like (1 × 10−1 VMR) in magenta, and Venus-like (9.6 × 10−1 VMR) in purple. The figure plots wavelength (μm) on the x-axis and apparent albedo (I/F) on the y-axis.

Other Images in This Article
Copyright and Terms & Conditions

Additional terms of reuse