Image Details

Choose export citation format:

Analytical Solutions for Planet-scattering Small Bodies

  • Authors: Yukun Huang, 宇坤 黄, Brett Gladman, Eiichiro Kokubo, 英一郎 小久保

Yukun Huang et al 2026 The Astronomical Journal 171 .

  • Provider: AAS Journals

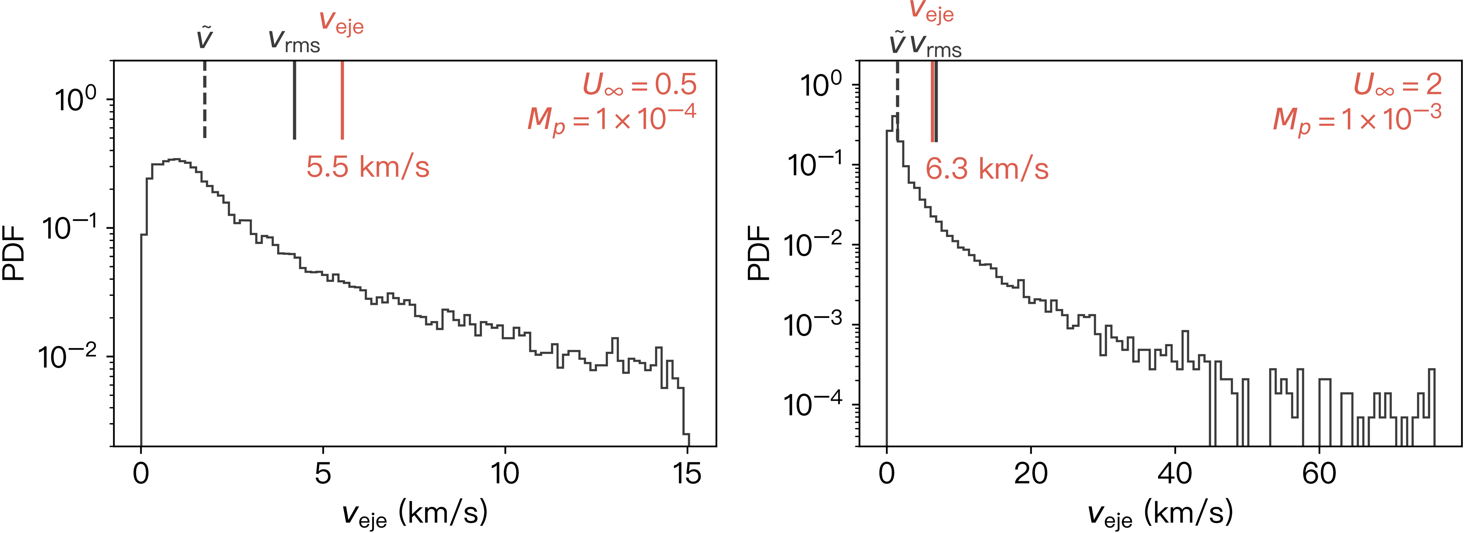
Caption: Figure 12.

Ejection speed distributions from the two scattering simulations shown in Figure 8 (left) and Figure 9 (right). The black histograms represent the simulated distributions. The theoretical rms ejection speeds veje, computed using Equation (68), are shown as red solid lines, while the numerical vrms values are shown as black solid lines. Median ejection speeds ﹩\tilde{v}﹩ are indicated by black dashed lines. In both simulations, the planet is placed on a circular orbit with ap = 1 au, corresponding to an orbital speed of vp ≈ 30 km s−1.

Other Images in This Article

Show More

Copyright and Terms & Conditions

Additional terms of reuse