Image Details

Choose export citation format:

TOI-4495: A Pair of Aligned, Near-resonant Sub-Neptunes That Likely Experienced Overstable Migration

  • Authors: Mu-Tian Wang, 王 牧天, Fei Dai, 戴 飞, Hui-Gen Liu, 刘 慧根, Kento Masuda, Andrew W. Howard, Samuel Halverson, Howard Isaacson, Elina Y. Zhang, Max Goldberg, Huan-Yu Teng, Ryan A. Rubenzahl, Benjamin Fulton, Erik A. Petigura, Steven Giacalone, Luke Handley, David W. Latham, Allyson Bieryla, Ashley Baker, Jerry Edelstein, Steven R. Gibson, Kodi Rider, Arpita Roy, Chris Smith, Josh Walawender, David Rapetti, Jon M. Jenkins, Joshua N. Winn

Mu-Tian Wang et al 2026 The Astronomical Journal 171 .

  • Provider: AAS Journals

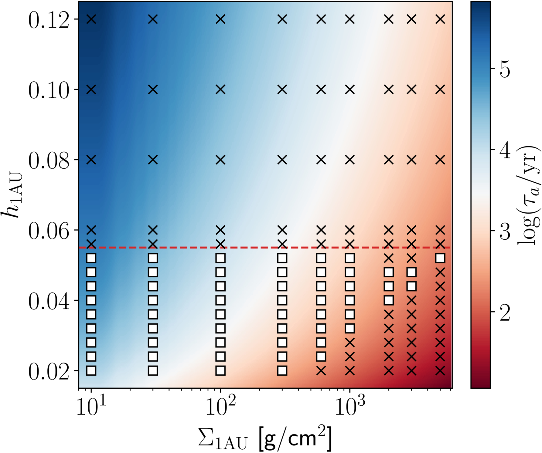
Caption: Figure 10.

Surface density and aspect ratio at 1 au of the disk that produce 2:1 MMR trappings of TOI-4495 analogs. Squares denote 2:1 capture (the observed architecture) while crosses denote escape. The background color denotes the migration rate at the observed location of TOI-4495 (∼0.06 au). The red dashed line shows the critical height aspect ratio above which the capture will become subject to escape (Equations (14) and (16)).

Other Images in This Article
Copyright and Terms & Conditions

Additional terms of reuse