Image Details

Choose export citation format:

TOI-4495: A Pair of Aligned, Near-resonant Sub-Neptunes That Likely Experienced Overstable Migration

  • Authors: Mu-Tian Wang, 王 牧天, Fei Dai, 戴 飞, Hui-Gen Liu, 刘 慧根, Kento Masuda, Andrew W. Howard, Samuel Halverson, Howard Isaacson, Elina Y. Zhang, Max Goldberg, Huan-Yu Teng, Ryan A. Rubenzahl, Benjamin Fulton, Erik A. Petigura, Steven Giacalone, Luke Handley, David W. Latham, Allyson Bieryla, Ashley Baker, Jerry Edelstein, Steven R. Gibson, Kodi Rider, Arpita Roy, Chris Smith, Josh Walawender, David Rapetti, Jon M. Jenkins, Joshua N. Winn

Mu-Tian Wang et al 2026 The Astronomical Journal 171 .

  • Provider: AAS Journals

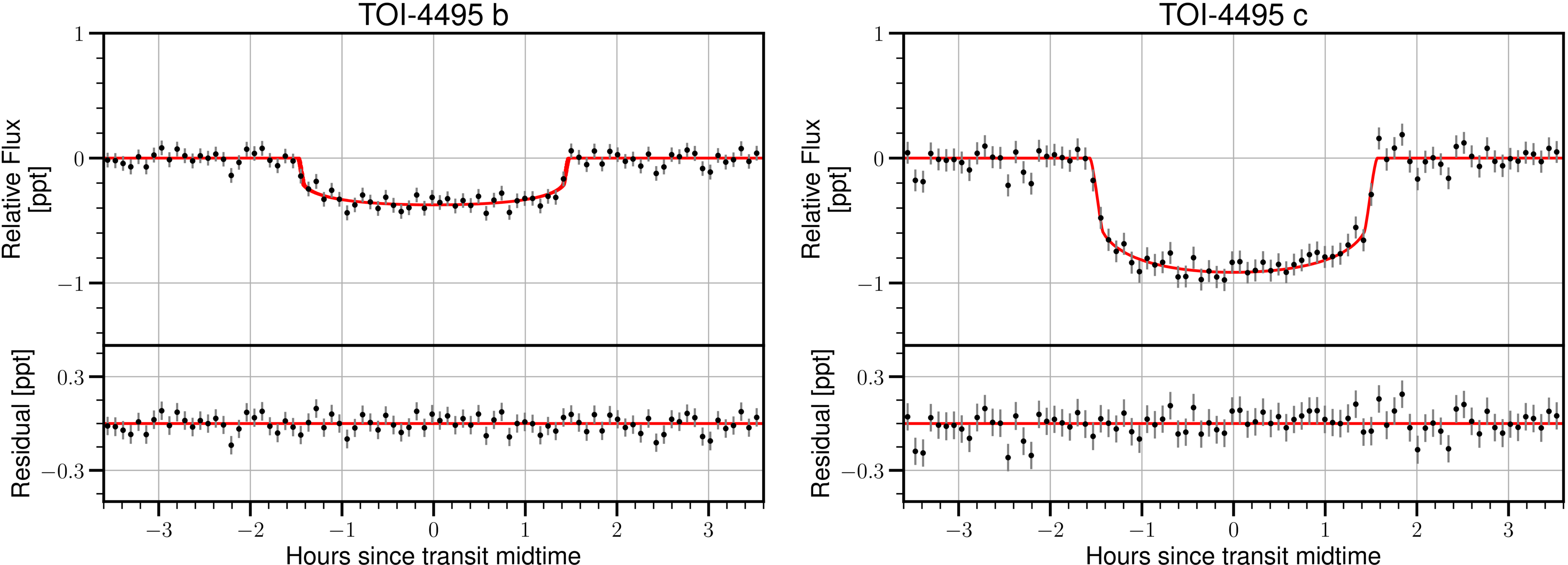
Caption: Figure 2.

Phase-folded TESS transit light curves of TOI-4495 b and c after accounting for TTVs, binned to 5 min. Red line is the best-fit photodynamics model (Section 5.3)

Other Images in This Article
Copyright and Terms & Conditions

Additional terms of reuse